Boletín Oficial de la Comunidad de Madrid - Núm 48

Fecha del Boletín 
26-02-2014

Sección 3.10.20F: III. ADMINISTRACIÓN LOCAL AYUNTAMIENTOS


Código de Verificación Electrónica (CVE): BOCM-20140226-52

Páginas: 69


III. ADMINISTRACIÓN LOCAL

AYUNTAMIENTO DE FUENLABRADA

PERSONAL

52
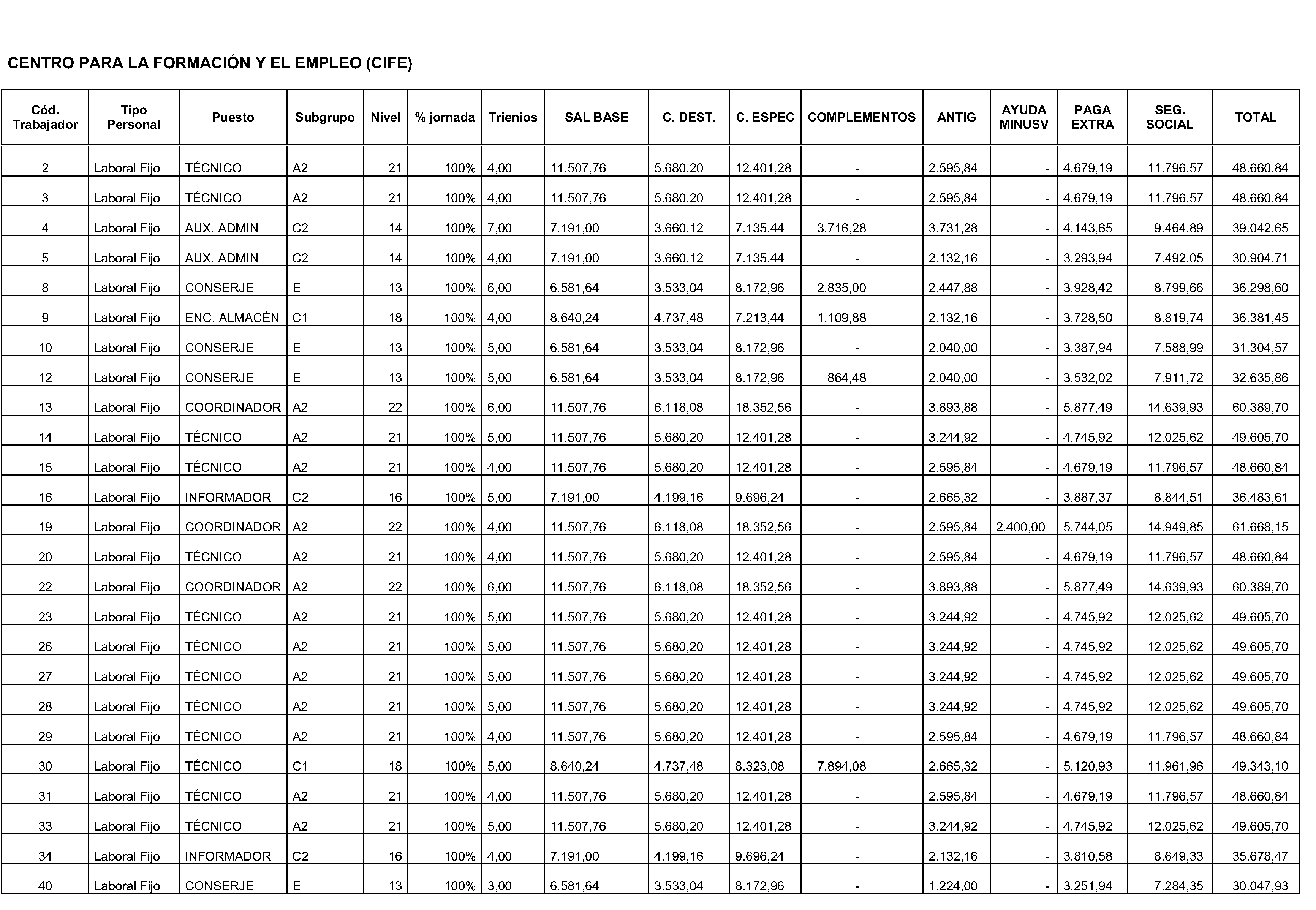
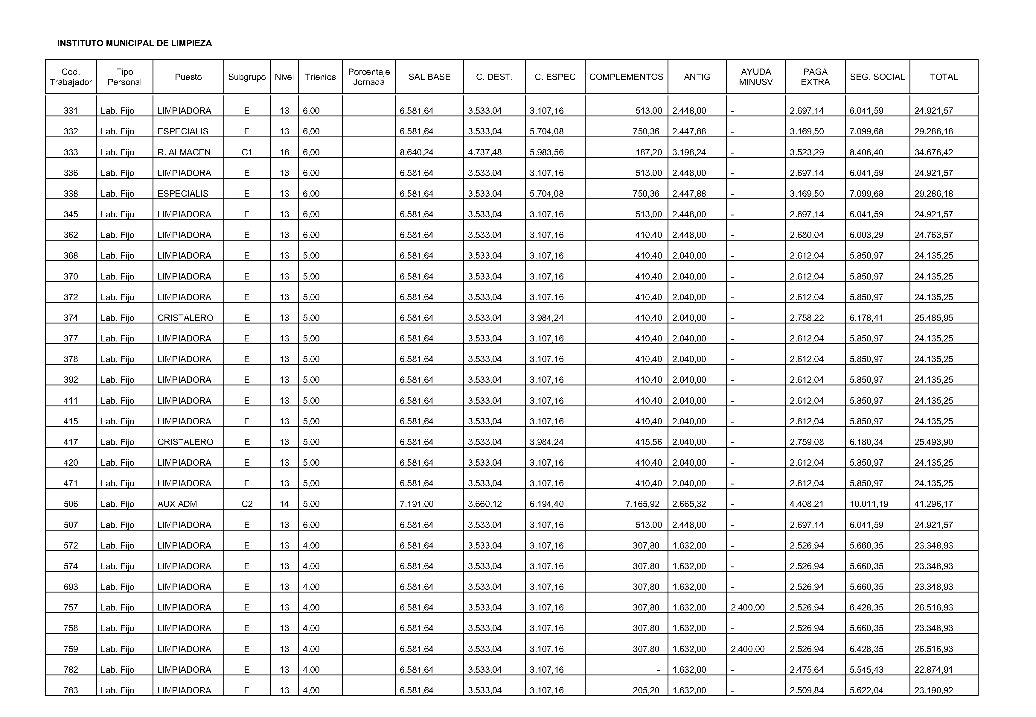
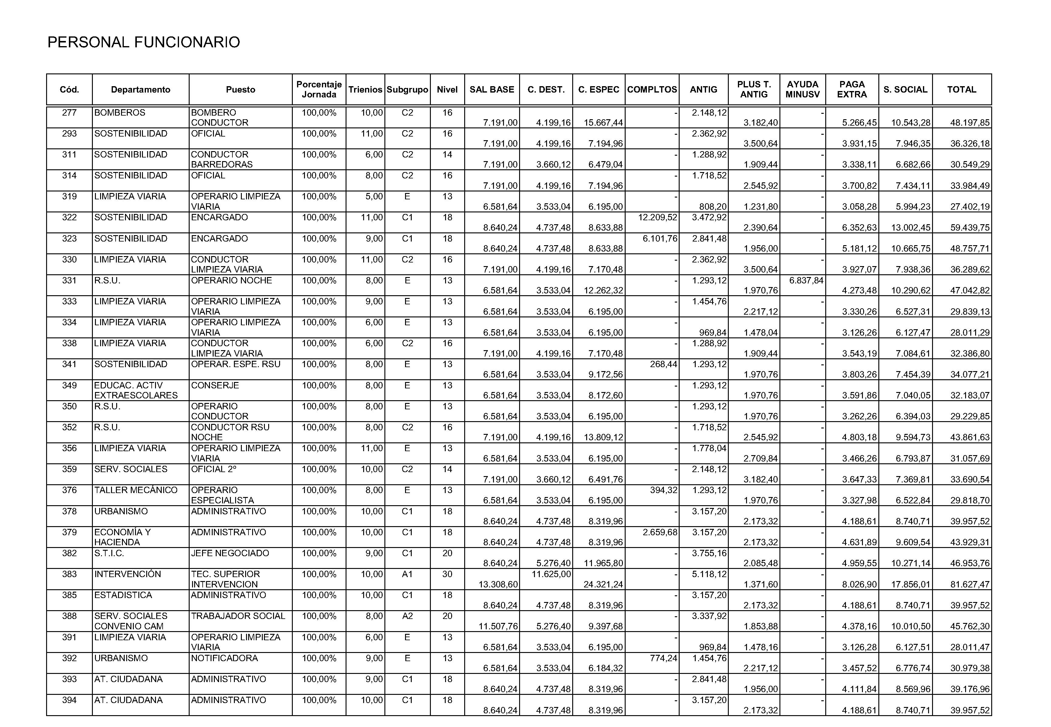
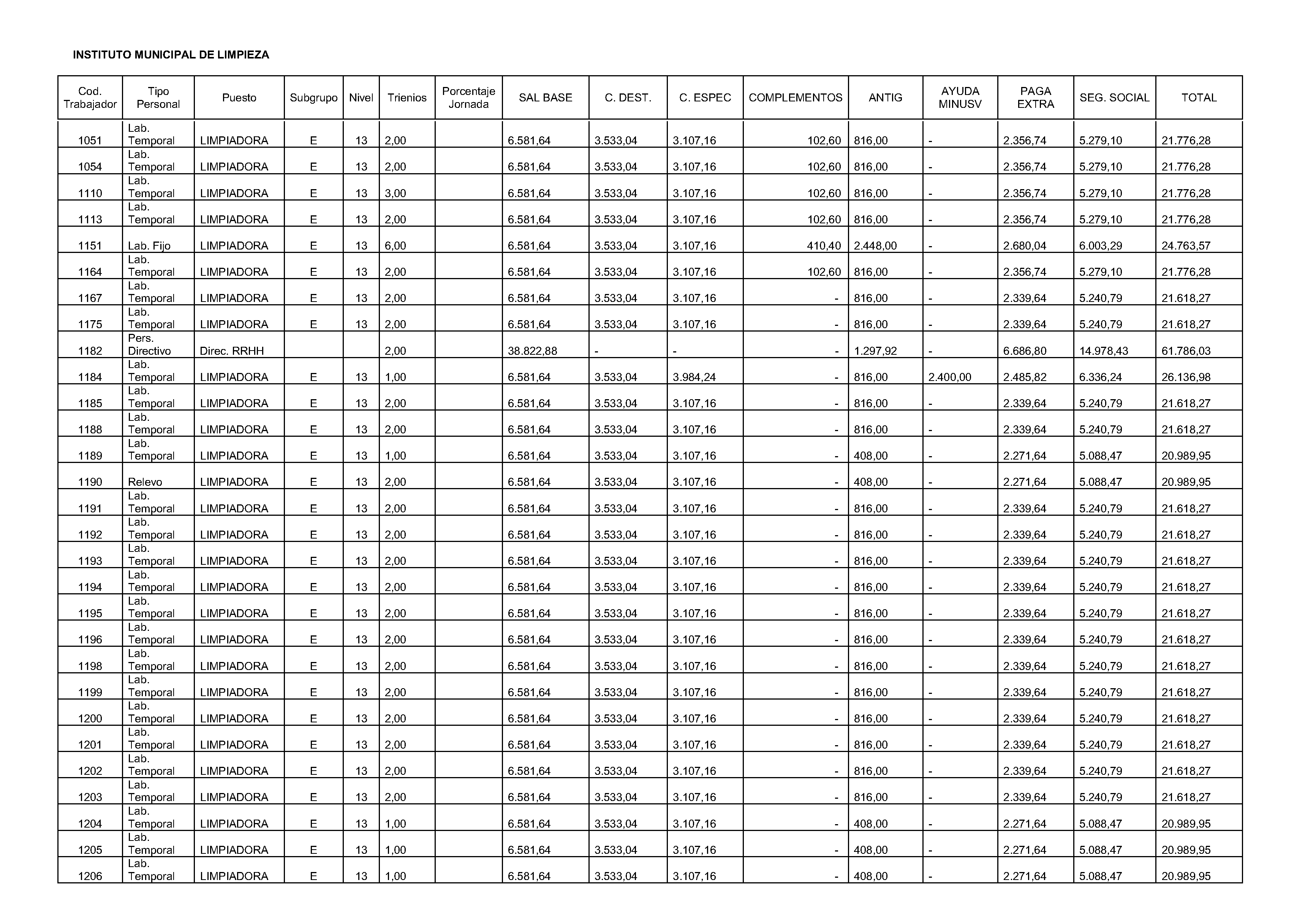
Anexo personal 2014

La Junta de Gobierno Local, en sesión extraordinaria celebrada con fecha 30 de octubre de 2013, acordó:

Aprobación de anexo de personal 2014 como instrumento de ordenación en materia de puestos de trabajo.

2. Aprobar el anexo de personal para 2014 del Ayuntamiento de Fuenlabrada, como instrumento de ordenación de los puestos de trabajo de nuestra entidad, de acuerdo con lo previsto en el título V, capítulo II “Estructuración del empleo público” de la Ley 7/2007, de 12 de abril, del Estatuto Básico del Empleado Público.

Vistos el informe de la Intervención Municipal número 1273, de 30 de octubre de 2013, al presupuesto general de 2014, y los informes de evaluación sobre el cumplimiento del objetivo de estabilidad presupuestaria que obran en el expediente, la Junta de Gobierno Local acuerda, por unanimidad de los concejales asistentes, aprobar la propuesta en todos sus términos.









































































































































Fuenlabrada, a 11 de febrero de 2014.—El alcalde-presidente, Manuel Robles Delgado.

(03/4.939/14)

Nota: El contenido del texto de la disposición que aquí se muestra no es necesariamente exacto y completo. Únicamente la disposición publicada con firma electrónica, en formato PDF, tiene carácter auténtico y validez oficial.

Sección 3.10.20F: III. ADMINISTRACIÓN LOCAL AYUNTAMIENTOS

Madrid Comunidad Digital
Código de Verificación Electrónica (CVE): BOCM-20140226-52