Boletín Oficial de la Comunidad de Madrid - Núm 102

Fecha del Boletín 
30-04-2018

Sección 1.2.210.1: I. COMUNIDAD DE MADRID


Código de Verificación Electrónica (CVE): BOCM-20180430-18

Páginas: 16


I. COMUNIDAD DE MADRID

B) Autoridades y Personal

UNIVERSIDAD CARLOS III

18
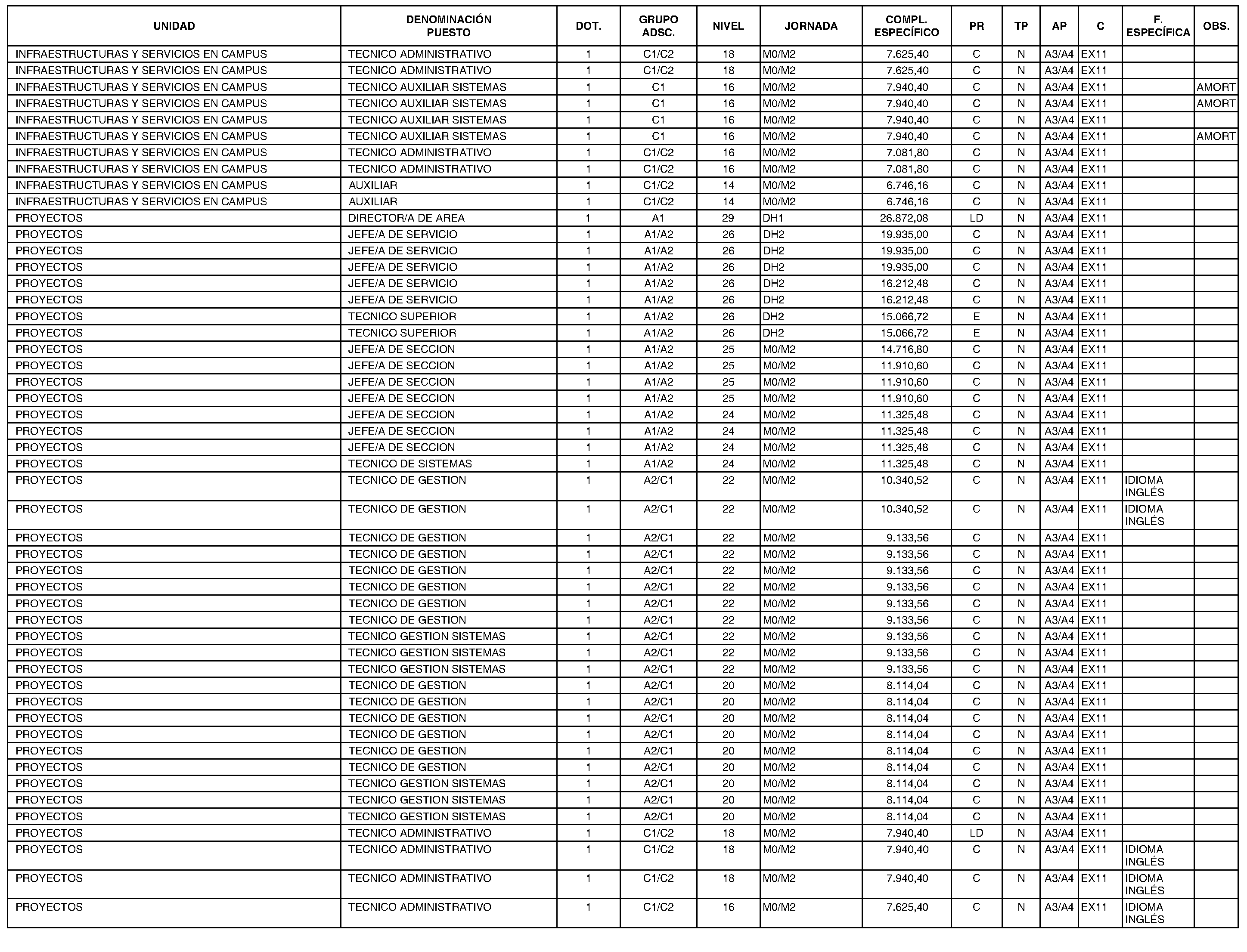
RESOLUCIÓN de 3 de abril de 2018, de la Universidad Carlos III de Madrid, por la que se dispone la publicación de la relación de puestos de trabajo del personal funcionario de administración y servicios de esta Universidad.

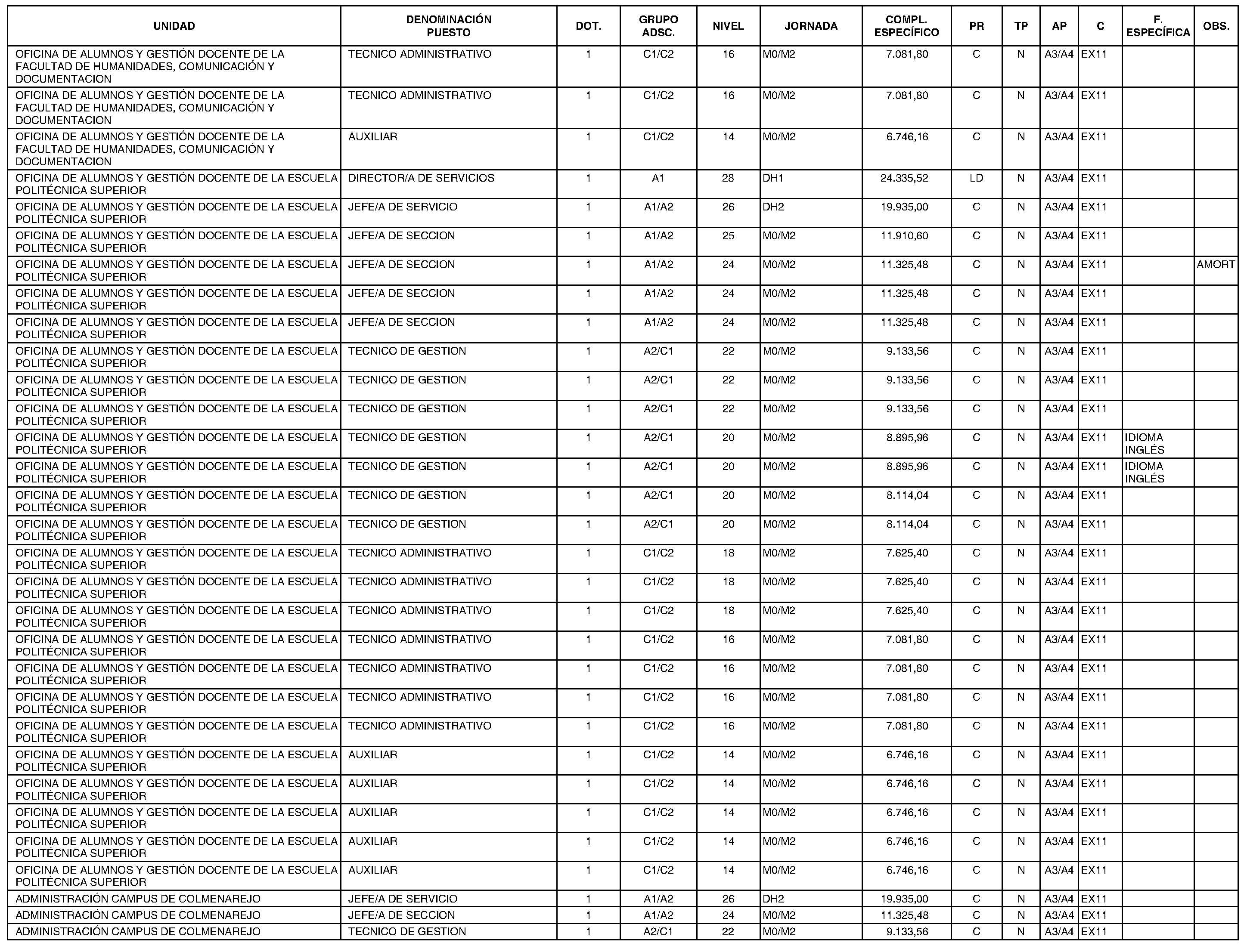
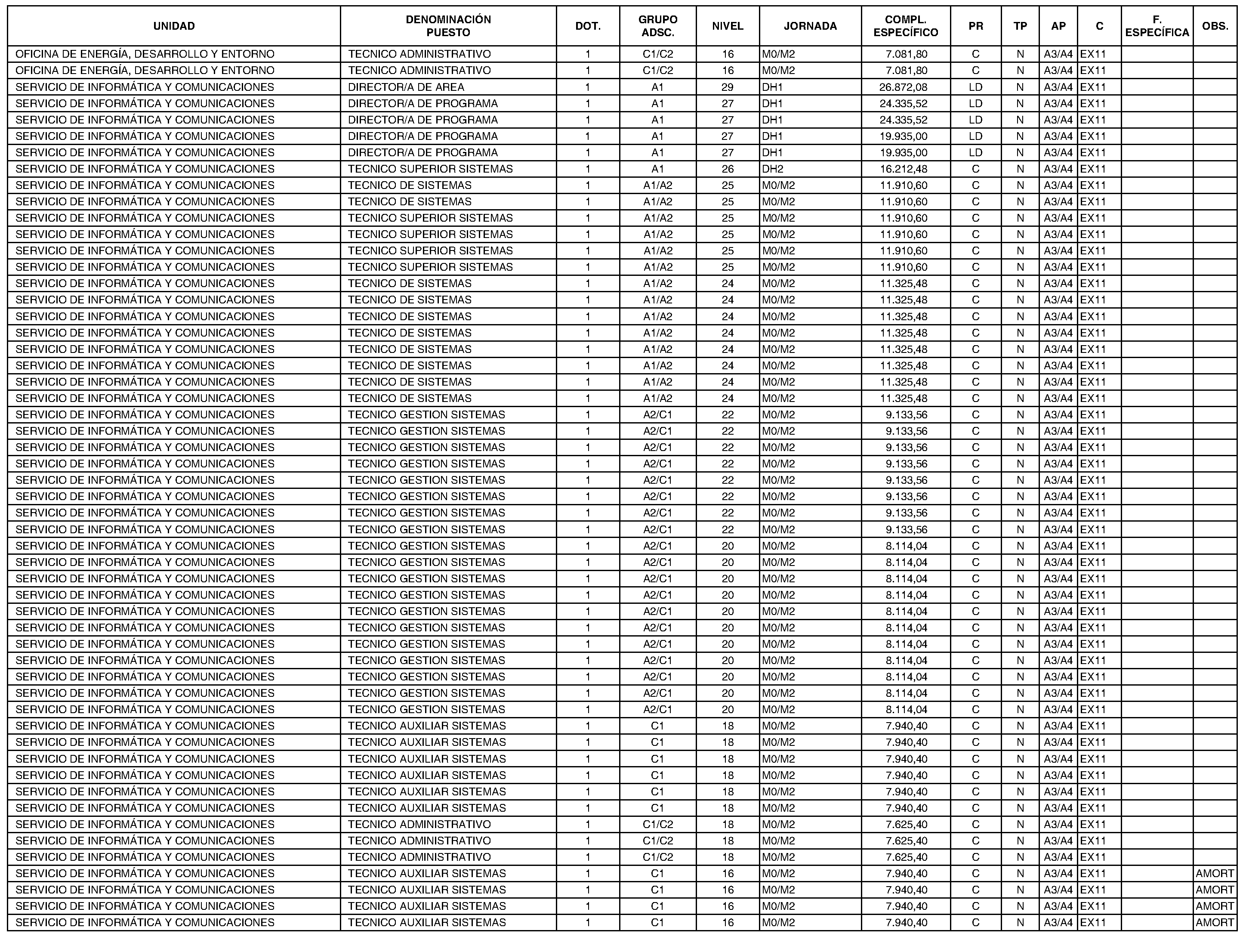
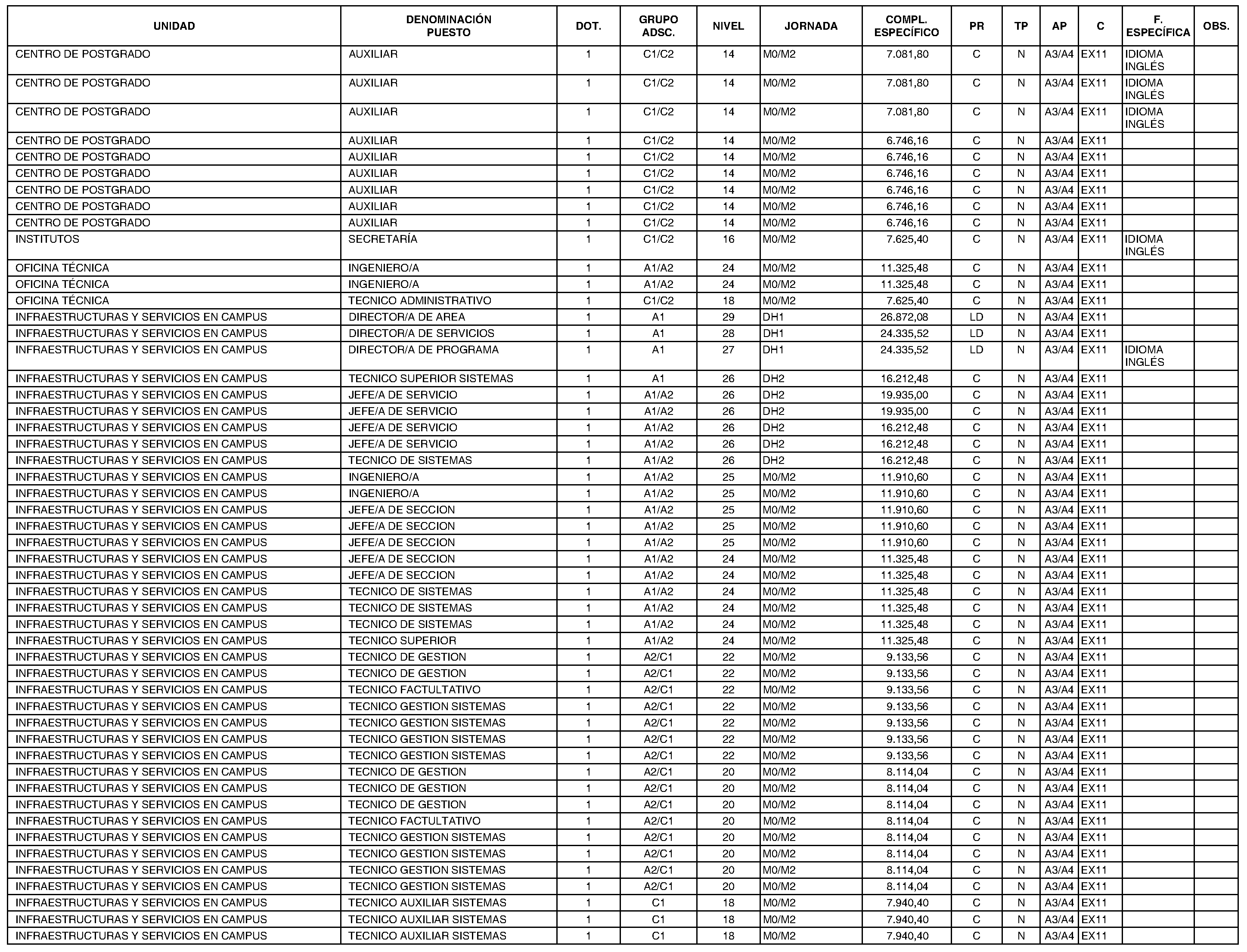
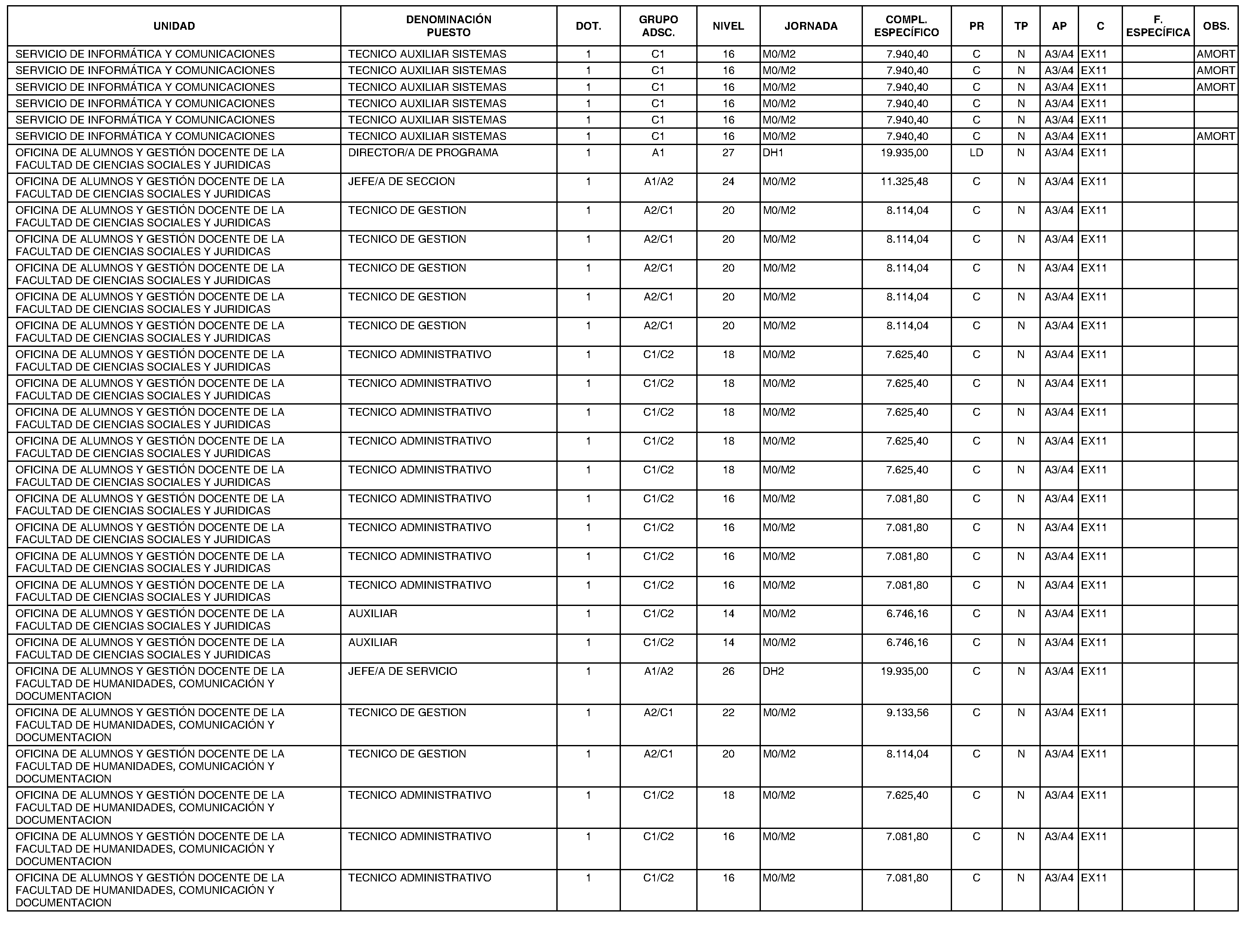
Aprobada la relación de puestos de trabajo de personal funcionario de administración y servicios de esta Universidad por el Consejo de Gobierno de la Universidad Carlos III, de Madrid, en sesión ordinaria del día 19 de marzo de 2018, previa negociación con la Junta de Personal e informado el Consejo Social en sesión plenaria ordinaria de 21 de marzo de 2018, con el fin de dar cumplimiento a lo previsto en el artículo 74 del Real Decreto Legislativo 5/2015, de 30 de octubre, por el que se aprueba el texto refundido de la Ley del Estatuto Básico del Empleado Público, este Rectorado, en uso de las competencias otorgadas por los Estatutos de esta Universidad, aprobados por Decreto 1/2003, de 9 de enero, y de conformidad con lo previsto en el artículo 2.2, apartado i), de la Ley Orgánica 6/2001, de 21 de diciembre, de Universidades, ha resuelto ordenar la publicación en el BOLETÍN OFICIAL DE LA COMUNIDAD DE MADRID de la relación de puestos de trabajo del personal funcionario de administración y servicios de la Universidad Carlos III de Madrid, recogida en el Anexo I de la presente Resolución.

La citada relación de puestos de trabajo tendrá efectos económicos y administrativos desde el 1 de mayo de 2018.

Getafe, a 3 de abril de 2018.—El Rector, Juan Romo Urroz.

La presente Resolución agota la vía administrativa y contra la misma podrá interponer: Recurso potestativo de reposición ante el Rector de la Universidad, en el plazo de un mes desde el día siguiente a la publicación de esta Resolución, de conformidad con lo dispuesto en la Sección Tercera del Capítulo II del Título V de la Ley 39/2015, de 1 de octubre, del Procedimiento Administrativo Común de las Administraciones Públicas; o bien, recuso contencioso-administrativo ante el Juzgado de lo Contencioso-Administrativo de Madrid, en el plazo de dos meses desde el día siguiente a la publicación de esta Resolución, de conformidad con lo dispuesto en el artículo 46 de la Ley 29/1998, de 13 de julio, Reguladora de la Jurisdicción Contencioso-Administrativa.





























(03/13.384/18)

Nota: El contenido del texto de la disposición que aquí se muestra no es necesariamente exacto y completo. Únicamente la disposición publicada con firma electrónica, en formato PDF, tiene carácter auténtico y validez oficial.

Sección 1.2.210.1: I. COMUNIDAD DE MADRID

Madrid Comunidad Digital
Código de Verificación Electrónica (CVE): BOCM-20180430-18