Boletín Oficial de la Comunidad de Madrid - Núm 273

Fecha del Boletín 
15-11-2018

Sección 1.4.45.1: I. COMUNIDAD DE MADRID


Código de Verificación Electrónica (CVE): BOCM-20181115-31

Páginas: 4


I. COMUNIDAD DE MADRID

D) Anuncios

CONSEJERÍA DE ECONOMÍA, EMPLEO Y HACIENDA

31
ANUNCIO de 30 de octubre de 2018, de la Dirección General de Industria, Energía y Minas, de convocatoria para el levantamiento de Actas Previas a la Ocupación de determinadas fincas afectadas por el proyecto “Reformado III del Proyecto de Autorización de Ejecución de instalaciones de distribución Ramal MOP 10 Daganzo de Arriba-Fresno de Torote para suministro de gas natural canalizado al término municipal de Fresno de Torote”. Expediente: EXG-02/18.

Por Resolución de la Dirección General de Industria, Energía y Minas de 17 de noviembre de 2015 (BOLETÍN OFICIAL DE LA COMUNIDAD DE MADRID número 6, de 8 de enero de 2016), se ha autorizado la ejecución del proyecto de referencia y declarado su utilidad pública, previo el correspondiente trámite de información pública. Dicha declaración, de acuerdo con lo dispuesto en el artículo 105 de la Ley 34/1998, de 7 de octubre, del Sector de Hidrocarburos, lleva implícita la necesidad de ocupación de los bienes y derechos afectados e implica la urgente ocupación de los mismos a los efectos previstos en el artículo 52 de la Ley de Expropiación Forzosa, de 16 de diciembre de 1954. Igualmente, lleva implícita la autorización para el establecimiento de la instalación gasista sobre terrenos de dominio, uso o servicio público, o patrimoniales del Estado, o de las Comunidades Autónomas, o de uso público propios o comunales de la provincia o municipio, obras y servicios de los mismos y zonas de servidumbre pública.

En su virtud, esta Dirección General, en cumplimiento de lo dispuesto en el citado artículo 52 de la Ley de Expropiación Forzosa, ha resuelto convocar a los propietarios y titulares de los bienes y derechos afectados para que comparezcan en el Ayuntamiento donde radican las fincas afectadas, como punto de reunión, para llevar a cabo, de conformidad con el procedimiento que se establece en el precitado artículo 52, el levantamiento de las actas previas a la ocupación y, si procediera, las de ocupación definitiva.

Todos los interesados, así como las personas que sean titulares de cualesquiera derechos e intereses sobre los bienes afectados deberán acudir personalmente, no admitiéndose representación sino por medio de poder debidamente autorizado, ya sea general, ya especial, para este caso. Los comparecientes deberán identificar su persona y acreditar la representación y titularidad de los bienes y derechos afectados con la documentación oportuna (documento de identidad, certificación registral, nota simple registral, documento público o privado de adquisición o adjudicación, documento público o privado que acredite la representación, etcétera), pudiéndose acompañar, a su costa, de sus peritos y un notario, si lo estiman oportuno.

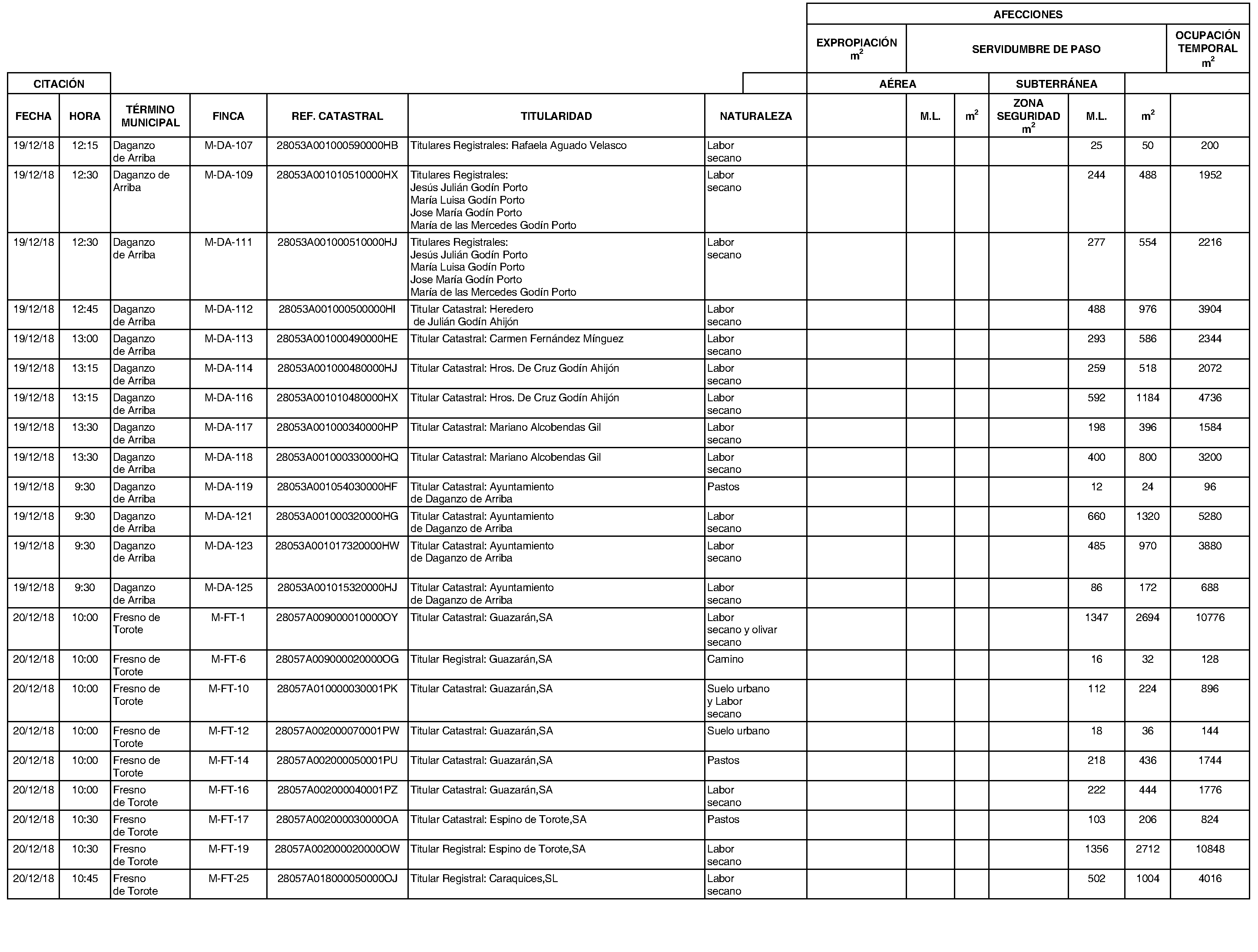
El levantamiento de Actas tendrá lugar el día 19 de diciembre de 2018, en el Ayuntamiento de Daganzo de Arriba (Madrid) a partir de las nueve y treinta horas y el 20 de diciembre en el Ayuntamiento de Fresno de Torote (Madrid) a partir de las diez horas. El orden del levantamiento de actas figura en la relación de bienes y derechos anexa y se comunicará a los interesados mediante la oportuna cédula de citación, figurando la relación de titulares convocados en el tablón de edictos del Ayuntamiento señalado.

Es de significar que la publicación de este anuncio en el “Boletín Oficial del Estado” se realiza, igualmente, a los efectos que determina el artículo 44 de la Ley 39/2015, de 1 de octubre, del Procedimiento Administrativo Común de las Administraciones Públicas, para la notificación en los casos de titular desconocido, domicilio ignorado o aquellos en los que, intentada la notificación, esta no haya podido practicarse.

En el expediente expropiatorio, “Redexis Gas, Sociedad Anónima”, asume la condición de entidad beneficiaria.

Han sido designados para actuar como representantes de la Administración en el presente procedimiento don Fernando del Valle Madrigal y doña Isabel Fraile Silva, con carácter solidario, pudiendo actuar indistintamente cualquiera de ellos en todas las actuaciones del procedimiento.

En Madrid, a 30 de octubre de 2018.—El Director General de Industria, Energía y Minas, Francisco Javier Abajo.





(02/36.072/18)

Nota: El contenido del texto de la disposición que aquí se muestra no es necesariamente exacto y completo. Únicamente la disposición publicada con firma electrónica, en formato PDF, tiene carácter auténtico y validez oficial.

Sección 1.4.45.1: I. COMUNIDAD DE MADRID

Madrid Comunidad Digital
Código de Verificación Electrónica (CVE): BOCM-20181115-31