Boletín Oficial de la Comunidad de Madrid - Núm 286

Fecha del Boletín 
02-12-2019

Sección 1.2.200.1: I. COMUNIDAD DE MADRID


Código de Verificación Electrónica (CVE): BOCM-20191202-10

Páginas: 9


I. COMUNIDAD DE MADRID

B) Autoridades y Personal

UNIVERSIDAD DE ALCALÁ

10
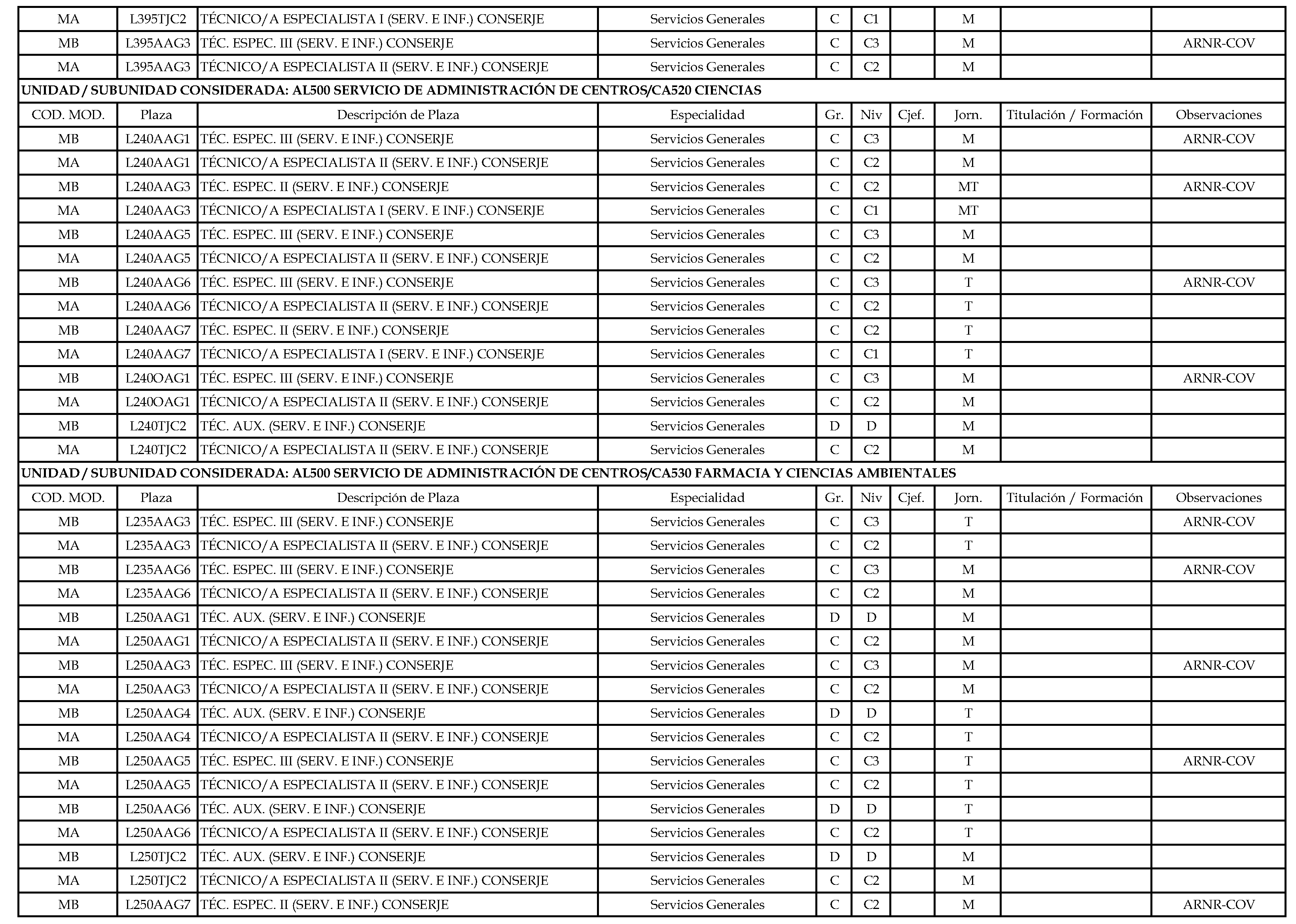
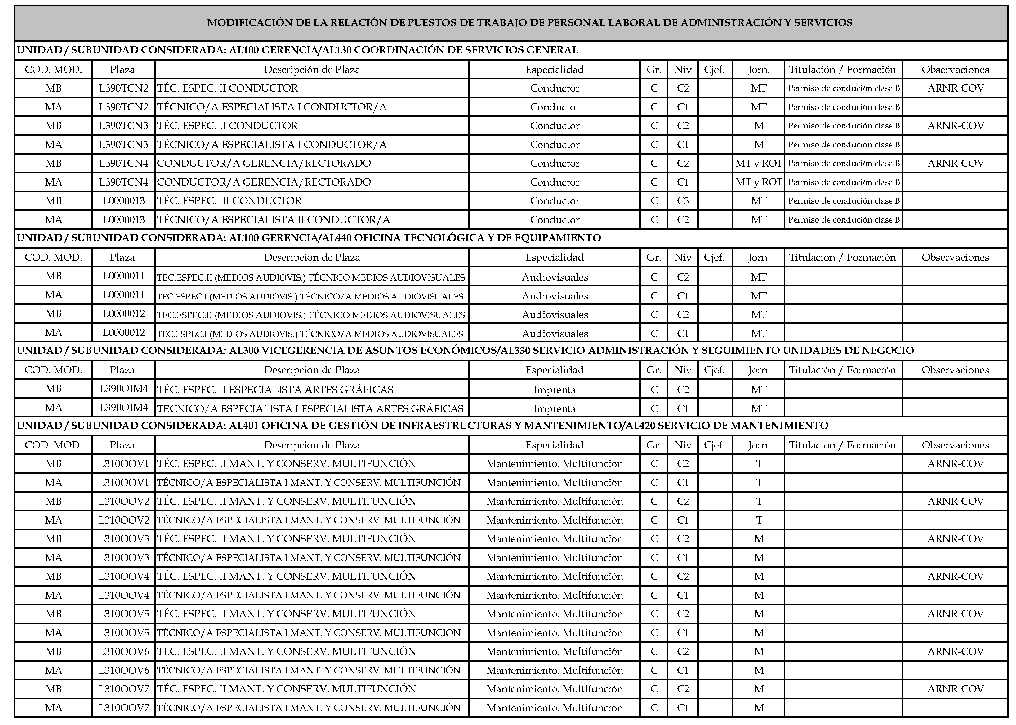
RESOLUCIÓN de 12 de noviembre de 2019, de la Universidad de Alcalá, por la que se publica una modificación de la relación de puestos de trabajo del personal laboral de Administración y Servicios de este Organismo.

Aprobada la modificación parcial de la relación de puestos de trabajo de personal laboral de Administración y Servicios de esta Universidad por el Consejo de Gobierno, en sesión del día 31 de octubre de 2019, con el fin de dar cumplimiento a lo previsto en el artículo 74 del Real Decreto Legislativo 5/2015, de 30 de octubre, por el que se aprueba el texto refundido del Estatuto Básico del Empleado Público.

Esta Gerencia, en uso de las atribuciones que, en materia de personal, tiene delegadas por Resolución del Rector de 19 de marzo de 2018 (BOLETÍN OFICIAL DE LA COMUNIDAD DE MADRID número 75, de 28 de marzo de 2018),

RESUELVE

Ordenar la publicación en el BOLETÍN OFICIAL DE LA COMUNIDAD DE MADRID de la modificación de la relación de puestos de trabajo de personal laboral de administración y servicios recogida en el Anexo.

Alcalá de Henares, a 12 de noviembre de 2019.—El Gerente, Miguel Ángel Sotelo Vázquez.















(03/39.135/19)

Nota: El contenido del texto de la disposición que aquí se muestra no es necesariamente exacto y completo. Únicamente la disposición publicada con firma electrónica, en formato PDF, tiene carácter auténtico y validez oficial.

Sección 1.2.200.1: I. COMUNIDAD DE MADRID

Madrid Comunidad Digital
Código de Verificación Electrónica (CVE): BOCM-20191202-10