Boletín Oficial de la Comunidad de Madrid - Núm 288

Fecha del Boletín 
04-12-2019

Sección 1.2.170.1: I. COMUNIDAD DE MADRID


Código de Verificación Electrónica (CVE): BOCM-20191204-21

Páginas: 3


I. COMUNIDAD DE MADRID

B) Autoridades y Personal

UNIVERSIDAD COMPLUTENSE DE MADRID

21
RESOLUCIÓN de 26 de noviembre de 2019, del Rector de la Universidad Complutense de Madrid, por la que se ordena la publicación de la modificación parcial de la relación de puestos de trabajo del personal funcionario de Administración y Servicios de esta Universidad.

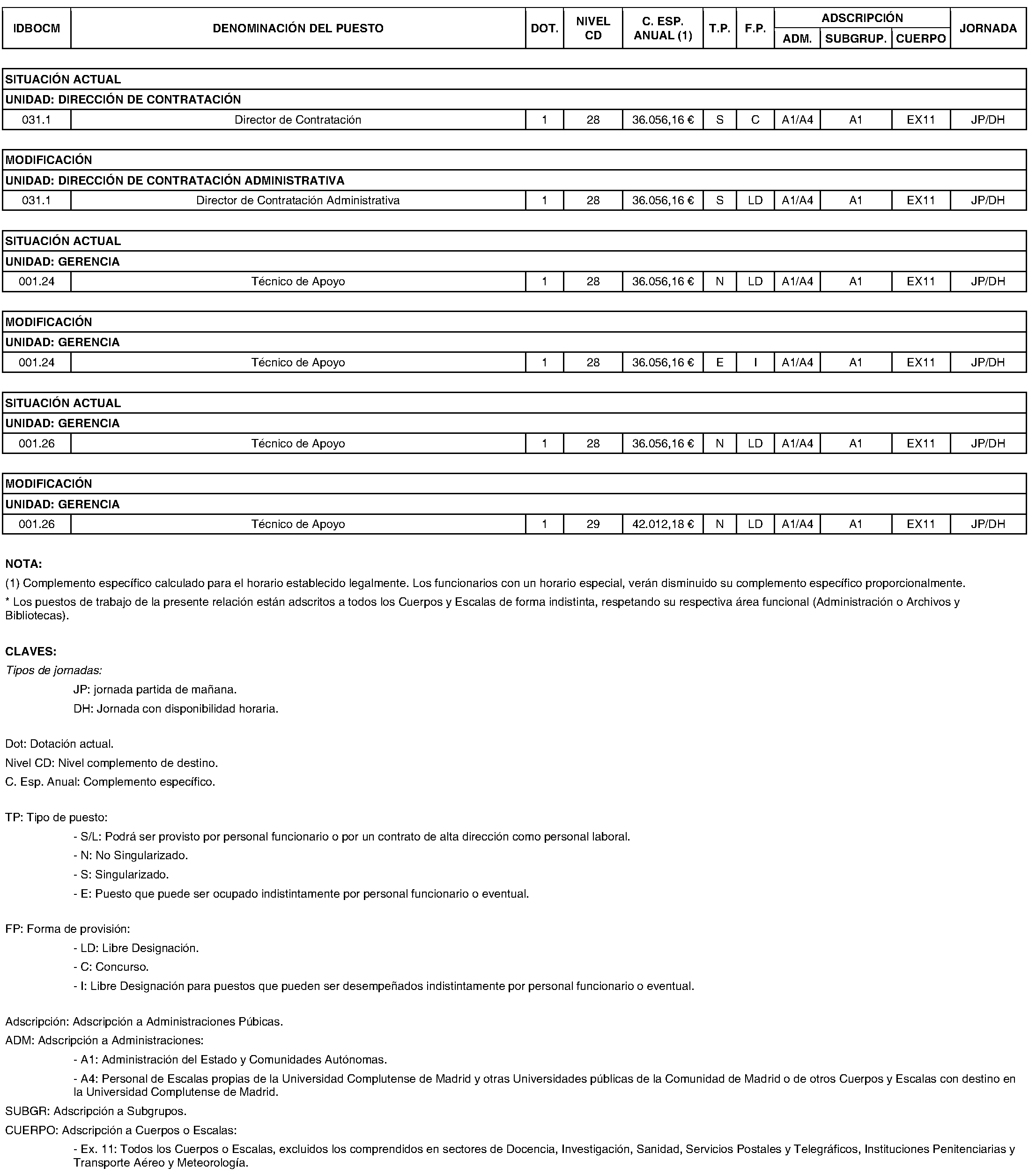
Aprobada la modificación parcial de la relación de puestos de trabajo del personal funcionario de Administración y Servicios de esta Universidad, por Acuerdo del Consejo de Gobierno de 26 de noviembre de 2019, y a efectos de dar cumplimiento a lo previsto en el artículo 15 de la Ley 30/1984, de 2 de agosto, de Medidas para la Reforma de la Función Pública, modificada por la Ley 23/1988, de 28 de julio, de Modificación de la Ley de Medidas para la Reforma de la Función Pública, en el artículo 74 del Real Decreto Legislativo 5/2015, de 30 de octubre, por el que se aprueba el texto refundido de la Ley del Estatuto Básico del Empleado Público, y en el artículo 122.2 del Decreto 32/2017, de 21 de marzo, del Consejo de Gobierno de la Comunidad de Madrid, por el que se aprueban los Estatutos de la Universidad Complutense de Madrid, modificados parcialmente por el Decreto 5/2018, de 23 de enero, del Consejo de Gobierno de la Comunidad de Madrid, por el que se aprueba la modificación parcial de los Estatutos de la Universidad Complutense de Madrid.

Este Rectorado, en uso de las competencias y atribuciones conferidas por los Estatutos de la Universidad Complutense de Madrid, ha dispuesto ordenar la publicación en el BOLETÍN OFICIAL DE LA COMUNIDAD DE MADRID de la modificación parcial de la relación de puestos de trabajo del personal funcionario de Administración y Servicios de la Universidad Complutense de Madrid, que se recoge en el Anexo que acompaña a la presente Resolución, con efectos económicos y administrativos de 27 de noviembre de 2019.

Madrid, a 26 de noviembre de 2019.—El Rector, Joaquín Goyache Goñi.



(03/39.918/19)

Nota: El contenido del texto de la disposición que aquí se muestra no es necesariamente exacto y completo. Únicamente la disposición publicada con firma electrónica, en formato PDF, tiene carácter auténtico y validez oficial.

Sección 1.2.170.1: I. COMUNIDAD DE MADRID

Madrid Comunidad Digital
Código de Verificación Electrónica (CVE): BOCM-20191204-21