Boletín Oficial de la Comunidad de Madrid - Núm 264
Sección 3.10.20C: III. ADMINISTRACIÓN LOCAL AYUNTAMIENTOS
Código de Verificación Electrónica (CVE): BOCM-20201029-45
Páginas: 4
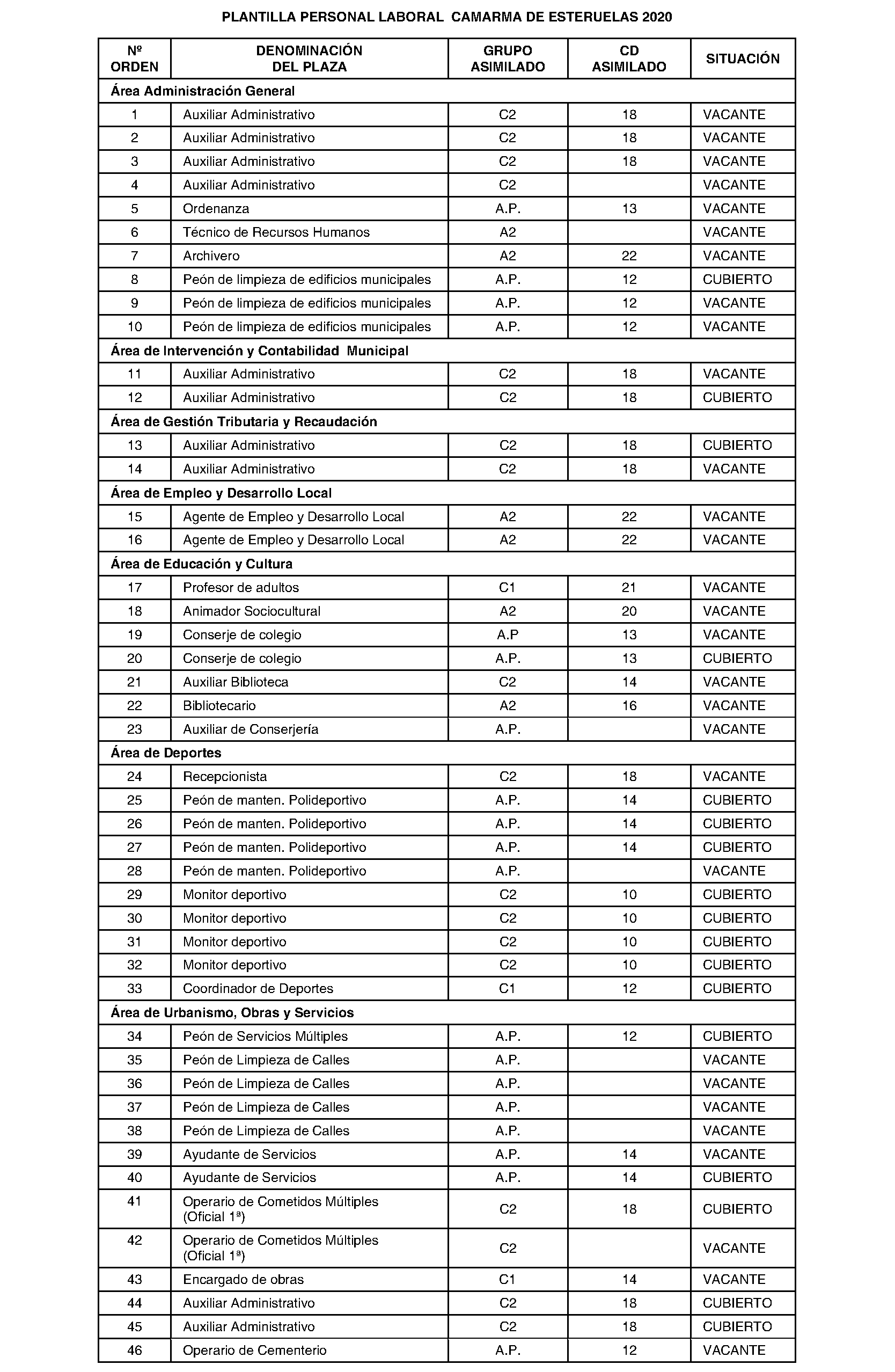
III. ADMINISTRACIÓN LOCAL
AYUNTAMIENTO DE CAMARMA DE ESTERUELAS
RÉGIMEN ECONÓMICO

