Boletín Oficial de la Comunidad de Madrid - Núm 2

Fecha del Boletín 
04-01-2021

Sección 1.3.111.1: I. COMUNIDAD DE MADRID


Código de Verificación Electrónica (CVE): BOCM-20210104-19

Páginas: 6


I. COMUNIDAD DE MADRID

C) Otras Disposiciones

CONSEJERÍA DE EDUCACIÓN Y JUVENTUD

19
ORDEN 3342/2020, de 18 de diciembre, del Consejero de Educación y Juventud, por la que se resuelve la convocatoria de subvenciones para el año 2020 destinadas a municipios de la Comunidad de Madrid para el desarrollo de acciones formativas dirigidas a jóvenes en el marco de la animación sociocultural y la educación no formal.

Mediante la Orden 805/2019, de 3 de junio, del Consejero de Cultura, Turismo y Deportes, se aprobaron las bases reguladoras para la concesión de subvenciones a municipios de la Comunidad de Madrid para el desarrollo de acciones formativas para jóvenes en el marco de la animación sociocultural y la educación no formal. Dicha orden fue objeto de modificación parcial a través de la Orden 1314/2020, de 19 de junio.

Con objeto de llevar a cabo la convocatoria de estas subvenciones en el año 2020, se aprobó la Orden 1685/2020, de 22 de julio, del Consejero de Educación y Juventud.

De conformidad con lo dispuesto en el artículo 21 en relación con el artículo 25 de la citada Orden 805/2019, de 3 de junio, la Dirección General de Juventud, como órgano instructor, a la vista del acta de la Comisión de Valoración, elevará propuesta de resolución al titular de la Consejería competente en materia de juventud, donde se indique la relación de solicitantes para los que se propone la concesión de la subvención, y su cuantía, así como la relación de los solicitantes para los que se propone la no concesión.

En su virtud, una vez concluida la instrucción del procedimiento, y a la vista del acta de la Comisión de Valoración, de fecha 6 de noviembre de 2020, y de conformidad con lo dispuesto en el Decreto 288/2019, de 12 de noviembre, del Consejo de Gobierno, por el que se establece la estructura orgánica de la Consejería de Educación y Juventud,

DISPONGO

Primero

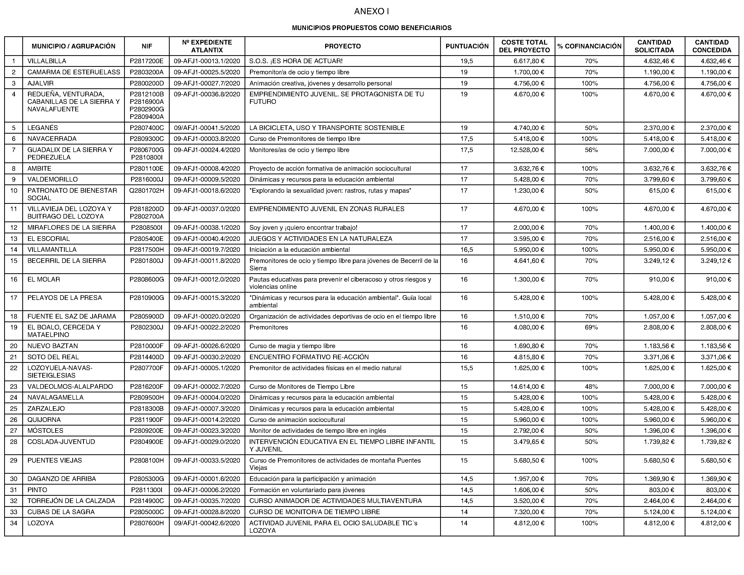
Conceder la subvención solicitada a los municipios y agrupaciones de municipios que aparecen relacionados en el Anexo I, en el importe que se indica, con cargo al subconcepto 46309 del programa 232 A del presupuesto de gastos de la Comunidad de Madrid para 2020.

Segundo

Tener por desistidas las solicitudes de los municipios que se relacionan en el Anexo II, por no haber subsanado su solicitud en los términos requeridos.

Tercero

De conformidad con lo dispuesto en el artículo 27 de la citada Orden 805/2019, de 3 de junio, de Bases Reguladoras, las subvenciones concedidas se abonarán como anticipos a cuenta, mediante transferencia bancaria en un pago único, sin exigencia de garantías.

Con carácter previo al pago deberá acreditarse que las entidades subvencionadas se hallan al corriente de sus obligaciones tributarias y de la Seguridad Social, así como no tener deudas en período ejecutivo con la Comunidad de Madrid, salvo que las mismas estuvieran debidamente garantizadas.

De acuerdo con el artículo 10.3 de la Ley 2/1995, de 8 de marzo, de Subvenciones de la Comunidad de Madrid, no podrá realizarse el pago de estas subvenciones en tanto las entidades locales destinatarias de las mismas no se hallen al corriente en el cumplimiento de la obligación de rendición de sus cuentas anuales a la Cámara de Cuentas de la Comunidad de Madrid, en los términos previstos en la Orden de 14 de enero de 2014, del Consejero de Economía y Hacienda, por la que se regula la acreditación del cumplimiento de la obligación de rendición de cuentas anuales de las Entidades Locales de la Comunidad de Madrid beneficiarias de subvenciones.

Por lo tanto, en el plazo máximo de 3 días desde la notificación de la presente orden, deberán presentar en el registro electrónico de la Consejería con competencia en materia de juventud o en los demás Registros electrónicos previstos en el artículo 16.4.a) de la Ley 39/2015, de 1 de octubre, el certificado de la Cámara de Cuentas de la Comunidad de Madrid de haber cumplido con la obligación de rendición de cuentas anuales ante la citada Cámara.

Cuarto

De conformidad con lo dispuesto en el artículo 29 de la Orden 805/2019, de 3 de junio, de Bases Reguladoras, los beneficiarios de esta subvención deberán cumplir las obligaciones señaladas en el artículo 8 de la Ley 2/1995, de 8 de marzo, de Subvenciones de la Comunidad de Madrid, y en el 14 de la Ley 38/2003, de 17 de noviembre, General de Subvenciones, y la efectividad de su concesión quedará condicionada al destino de la misma para la finalidad para la que se concedió.

En particular, deberán cumplir las siguientes obligaciones:

a) Permitir que en el desarrollo de la acción formativa subvencionada la Escuela pública de animación y educación en el tiempo libre infantil y juvenil de la Comunidad de Madrid, lleve a cabo el seguimiento, control y evaluación pedagógicos, si así lo decidiera, para, en su caso, obtener la oportuna certificación.

b) Tener suscrito un seguro de responsabilidad civil.

c) Suscribir un seguro de accidentes. La póliza del seguro podrá ser suscrita específicamente para cada acción formativa o de forma colectiva para varias acciones formativas. Asimismo, en caso de que en el desarrollo de la acción formativa subvencionada participen voluntarios, la entidad deberá contar con la oportuna póliza de seguros que dé cobertura a los mismos.

d) Facilitar, en el formato que les sea requerido, cuantos datos les sean solicitados sobre el contenido y desarrollo de la acción formativa.

e) Asumir la gestión técnica y coordinación de la acción formativa.

f) Difundir la acción formativa.

g) Especificar en las memorias, publicaciones, anuncios u otros medios de difusión “online”, oral o escrita que se realicen o utilicen respecto a los proyectos subvencionados, que éstos cuentan con la subvención de la Consejería competente en materia de juventud. Asimismo, en las instalaciones en que se desarrollen los proyectos subvencionados, deberán colocarse carteles informativos de la participación de esta Consejería. A estos efectos se utilizará el logo que sea facilitado por la Dirección General competente en materia de juventud.

h) Comunicar cualquier modificación o eventualidad que afecte al contenido del proyecto subvencionado.

i) Declarar las ayudas que hayan solicitado y/u obtenido, tanto en el momento de la solicitud como en cualquier otro momento posterior del procedimiento.

j) Facilitar cuanta información le sea requerida por la Intervención General de la Comunidad de Madrid, Tribunal de Cuentas u otros órganos competentes y, en particular, asumir los extremos regulados en el apartado cuarto del artículo duodécimo de la Ley de Subvenciones de la Comunidad de Madrid.

k) En caso de que en la acción formativa participen menores, el beneficiario de la subvención no permitirá la realización de actividades por personal (incluido el voluntario) que haya sido condenado por sentencia firme por algún delito contra la libertad e indemnidad sexual, debiendo apartar, asimismo, al personal que en el desarrollo de las actividades sea condenado por sentencia firme por la comisión de alguno de dichos delitos.

Quinto

1. La justificación de la subvención concedida se realizará en el plazo de tres meses desde la finalización de la acción formativa, pudiendo abonarse gastos subvencionables dentro de este plazo máximo de justificación.

2. La cuenta justificativa con aportación de justificantes de gasto, constará de los siguientes documentos:

a) Memoria de desarrollo del proyecto, debidamente firmada por el representante legal, con el siguiente contenido mínimo:

— Difusión y selección:

• Cómo se realizó (carteles, dípticos…). Valoración.

• Número de inscripciones.

• Proceso de selección de participantes: criterios aplicados.

• Ficha de perfil de grupo.

— Participantes y formadores/as:

• Lista de participantes: nombre, dos apellidos y n.o de documento de identidad.

• Listado de superados: nombre, dos apellidos y n.o de documento de identidad.

• Hoja de firmas de las sesiones.

• Lista de formadores/as y/o coordinador/a: nombre, dos apellidos y n.o documento de identidad, con las sesiones y número de horas impartidas.

— Desarrollo del proyecto formativo:

• Objetivos formativos: grado de cumplimiento.

• Adecuación y pertinencia de los contenidos. Propuestas de cambio, en su caso.

• Adecuación de los contenidos y metodología a las características e intereses del grupo.

• Cronograma inicial. Cambios que se han producido.

• Desarrollo de sesiones con valoraciones y cambios. (Fichas de sesiones).

• El grupo de participantes: características, evolución y proceso, clima, etc.

— Evaluación de los/las participantes:

• Resultados de la evaluación del proceso de aprendizaje.

• Resultados de la evaluación del profesorado, organización y coordinación.

— Valoración final:

• Resumen valorativo del proceso de aprendizaje/proceso grupal.

• Repercusiones de la acción formativa.

• Propuestas de mejora.

b) Relación clasificada de los gastos de la actividad, con identificación del acreedor y del documento, su importe y fecha de emisión, y del correspondiente justificante de pago.

c) Los gastos de personal se acreditarán mediante:

— Gastos de personal con contrato laboral:

• Contratos de trabajo, nóminas, boletines de cotización a la Seguridad Social (TC1 y TC2) y modelos correspondientes a las retenciones a cuenta del IRPF.

• Declaración responsable del representante legal de la entidad en el que conste la vinculación formal del trabajador al proyecto subvencionado, con indicación de sus funciones y el tiempo de dedicación al proyecto.

• Declaración responsable del representante legal de la entidad que acredite las horas de trabajo que se han dedicado al proyecto.

— Gastos de personal con relación de servicios no laboral:

• Contrato de prestación de servicios en el que se detallen los servicios a realizar, el plazo de ejecución.

• Recibo o factura del profesional de la cantidad devengada.

• Certificado que acredite la conformidad de la entidad con la realización del servicio firmado por el representante legal.

d) El gasto de seguros se justificará con la aportación de la póliza suscrita por la entidad beneficiaria con la compañía de seguros y el recibo en el que conste debidamente identificada la prima satisfecha, así como su correspondiente justificante de pago.

e) El resto de los gastos se justificarán con facturas que estén relacionadas con la finalidad subvencionada. Estas facturas deberán estar expedidas a nombre de la entidad beneficiaria y deberán cumplir lo establecido en el Reglamento por el que se regulan las obligaciones de facturación, aprobado mediante Real Decreto 1619/2012, de 30 de noviembre.

3. Todos los gastos deberán estar acompañados de justificante de pago, y tanto los justificantes de gastos como los de pagos, deberán reflejar en su parte superior derecha un número de orden, que deberá coincidir con el que se les haya asignado en la relación clasificada de gastos.

4. Cuando las actividades hayan sido financiadas, además de con la subvención, con fondos propios u otras subvenciones o recursos, deberá acreditarse en la justificación el importe, procedencia y aplicación de tales fondos a las actividades subvencionadas, mediante declaración responsable suscrita por el representante legal de la entidad.

5. La documentación justificativa se presentará en el registro electrónico de la Consejería con competencia en materia de juventud, o en los demás Registros electrónicos previstos en el artículo 16.4.a) de la Ley 39/2015, de 1 de octubre.

6. Todos los documentos deben ser legibles, no admitiéndose los que estén incompletos o contengan modificaciones, enmiendas y/o tachaduras. Cualquier escrito que acompañe a la documentación justificativa y que suponga una aclaración que se desee efectuar se realizará en escrito adjunto a los mismos debidamente firmada por el representante legal.

7. Si, transcurrido el plazo de justificación previsto en el apartado primero, no se hubiera presentado dicha justificación ante el órgano administrativo competente, de conformidad con lo previsto en el artículo 70.3 del Reglamento de la Ley 38/2003, de 17 de noviembre, aprobado por Real Decreto 887/2006, de 21 de julio, se requerirá al beneficiario para que en el plazo improrrogable de quince días hábiles sea presentada. La falta de presentación de la justificación en el plazo establecido en este apartado conllevará la exigencia del reintegro y demás responsabilidades procedentes.

Sexto

La presente orden, que resuelve la convocatoria de subvenciones efectuada por la Orden 805/2019, de 3 de junio, será notificada electrónicamente a las entidades interesadas, de conformidad con lo previsto en los artículos 40 a 44 de la Ley 39/2015, de 1 de octubre, del Procedimiento Administrativo Común de las Administraciones Públicas, tal y como establece el artículo 24 de la Orden de Bases Reguladoras.

Séptimo

Contra la presente orden, que pone fin a la vía administrativa, se podrá interponer recurso potestativo de reposición, en el plazo de un mes, ante el Consejero de Educación y Juventud, o bien, directamente, recurso contencioso-administrativo, en el plazo de dos meses, ante la Sala competente del Tribunal Superior de Justicia de Madrid; ambos plazos contados desde el día siguiente al de la publicación de esta orden en el BOLETÍN OFICIAL DE LA COMUNIDAD DE MADRID, sin perjuicio de cuantos otros recursos se estime oportuno interponer.

Madrid, a 18 de diciembre de 2020.

El Consejero de Educación y Juventud, ENRIQUE OSSORIO CRESPO



(03/35.886/20)

Nota: El contenido del texto de la disposición que aquí se muestra no es necesariamente exacto y completo. Únicamente la disposición publicada con firma electrónica, en formato PDF, tiene carácter auténtico y validez oficial.

Sección 1.3.111.1: I. COMUNIDAD DE MADRID

Madrid Comunidad Digital
Código de Verificación Electrónica (CVE): BOCM-20210104-19