Boletín Oficial de la Comunidad de Madrid - Núm 117

Fecha del Boletín 
18-05-2022

Sección 1.2.200.1: I. COMUNIDAD DE MADRID


Código de Verificación Electrónica (CVE): BOCM-20220518-46

Páginas: 44


I. COMUNIDAD DE MADRID

B) Autoridades y Personal

UNIVERSIDAD DE ALCALÁ

46
RESOLUCIÓN de 4 de mayo de 2022, del Rectorado de la Universidad de Alcalá, por la que se ordena la publicación de la Relación de Puestos de Trabajo del Personal Docente e Investigador a 31 de diciembre de 2021.

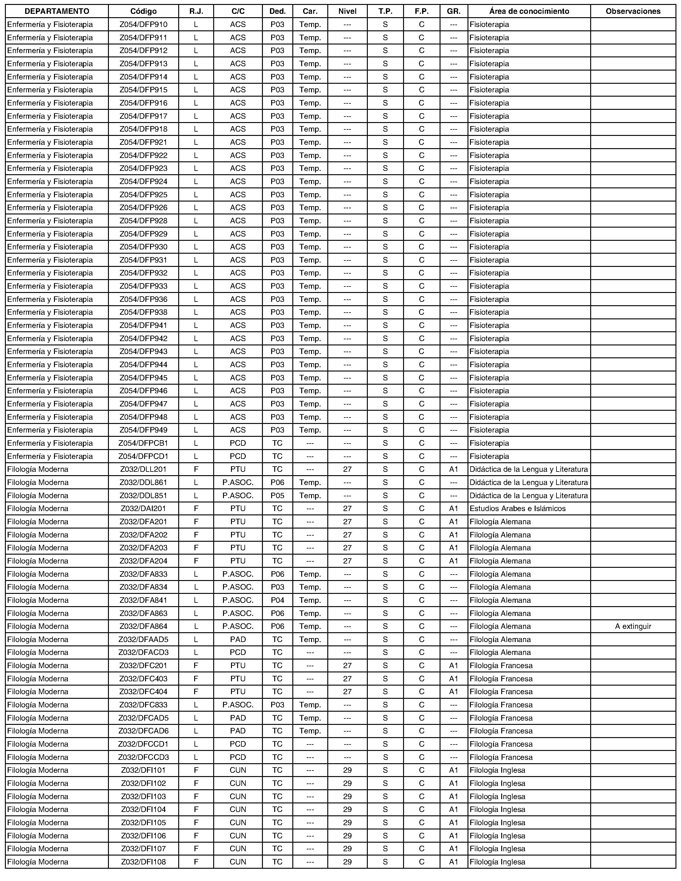
Aprobada la Relación de Puestos de Trabajo del Personal Docente e Investigador de esta Universidad en la sesión celebrada por el Consejo de Gobierno de la Universidad de Alcalá el día 17 de marzo de 2022, de conformidad con lo establecido en el artículo 110 de los Estatutos de la Universidad de Alcalá, y en la Ley Orgánica 6/2001, de 21 de diciembre, de Universidades (“Boletín Oficial del Estado” de 24 de diciembre), modificada por la Ley Orgánica 4/2007 de 12 de abril (“Boletín Oficial del Estado” del 13 de abril).

Este Rectorado, en uso de las competencias otorgadas por el artículo 21 de los Estatutos de la Universidad de Alcalá, aprobados por Decreto 221/2003, de 23 de octubre del Consejo de Gobierno de la Comunidad de Madrid (BOLETÍN OFICIAL DE LA COMUNIDAD DE MADRID de 31 de octubre), modificados por Decreto 18/2012, de 26 de enero del Consejo de Gobierno de la Comunicad de Madrid (BOLETÍN OFICIAL DE LA COMUNIDAD DE MADRID de 10 de febrero), y para dar cumplimiento a lo dispuesto en el artículo 15.3, de la Ley 30/1984, de 2 de agosto, de Medidas para la Reforma de la Función Pública y en el artículo 74 de la Ley 7/2007, de 12 de abril, del Estatuto Básico del Empleado Público –texto refundido recogido en el Real Decreto Legislativo 5/2015, de 30 de octubre (“Boletín Oficial del Estado” de 31 de octubre)–, ha resuelto ordenar la publicación en el BOLETÍN OFICIAL DE LA COMUNIDAD DE MADRID de la Relación de Puestos de Trabajo del Personal Docente e Investigador de la Universidad de Alcalá, recogida en el Anexo I de la presente resolución, así como la codificación utilizada, reflejada en el Anexo II.

Contra la presente resolución, que agota la vía administrativa, podrá recurrirse en vía contencioso-administrativa en el plazo de dos meses, a contar desde el día siguiente al de notificación o publicación del acto en el BOLETÍN OFICIAL DE LA COMUNIDAD DE MADRID.

Sin perjuicio de lo anterior, la presente resolución podrá ser recurrida, potestativamente, en reposición ante el mismo órgano que la ha dictado, en el plazo de un mes. En este caso, no podrá interponerse recurso contencioso-administrativo hasta que sea resuelto expresamente o se haya producido la desestimación presunta del recurso de reposición interpuesto.

Alcalá de Henares, a 4 de mayo de 2022.—El Rector, José Vicente Saz Pérez.





















































































(03/9.035/22)

Nota: El contenido del texto de la disposición que aquí se muestra no es necesariamente exacto y completo. Únicamente la disposición publicada con firma electrónica, en formato PDF, tiene carácter auténtico y validez oficial.

Sección 1.2.200.1: I. COMUNIDAD DE MADRID

Madrid Comunidad Digital
Código de Verificación Electrónica (CVE): BOCM-20220518-46