Boletín Oficial de la Comunidad de Madrid - Núm 181

Fecha del Boletín 
01-08-2022

Sección 3.10.20T: III. ADMINISTRACIÓN LOCAL AYUNTAMIENTOS


Código de Verificación Electrónica (CVE): BOCM-20220801-71

Páginas: 7


III. ADMINISTRACIÓN LOCAL

AYUNTAMIENTO DE TORREJÓN DE ARDOZ

PERSONAL

71
Torrejón de Ardoz. Personal. Relación puestos trabajo

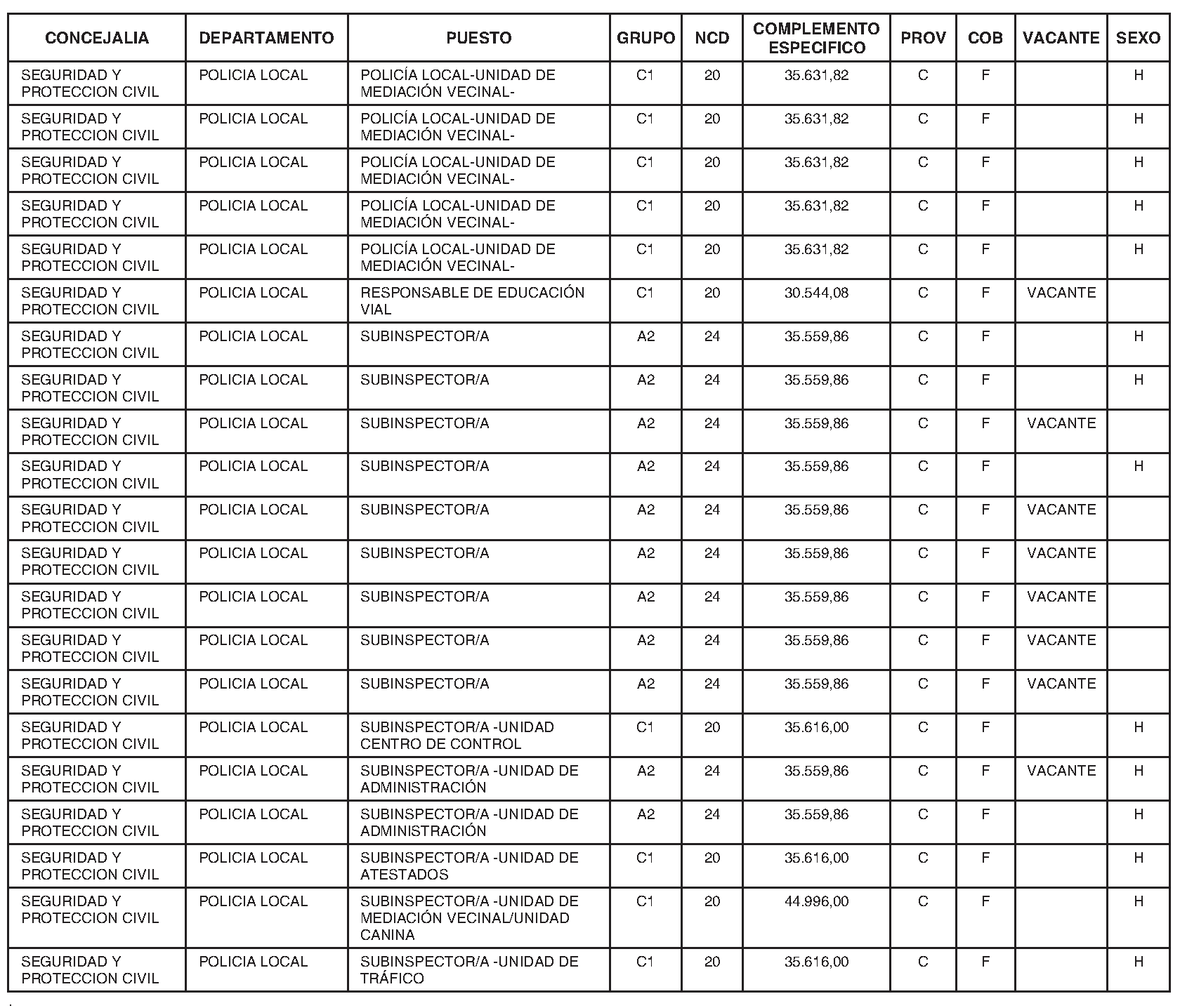
La Junta de Gobierno Local de este Ayuntamiento, en sesión celebrada el día 18 de julio de 2022, aprobó modificación de la vigente Relación de Puestos de Trabajo en las dotaciones de los siguientes puestos:













Contra la presente resolución, que pone fin a la vía administrativa, se podrá interponer potestativamente recurso de reposición ante el órgano que lo ha dictado en el plazo de un mes; o directamente, recurso contencioso-administrativo en plazo de dos meses ante los Juzgados de los Contencioso-Administrativo, con sede en Madrid, contados ambos a partir del día siguiente a esta publicación; sin perjuicio de cualquier otro recurso que considere procedente interponer.

En Torrejón de Ardoz, a 21 de julio de 2022.—El concejal de Obras, Limpieza Urbana y Administración, Valeriano Díaz Baz.

(03/15.326/22)

Nota: El contenido del texto de la disposición que aquí se muestra no es necesariamente exacto y completo. Únicamente la disposición publicada con firma electrónica, en formato PDF, tiene carácter auténtico y validez oficial.

Sección 3.10.20T: III. ADMINISTRACIÓN LOCAL AYUNTAMIENTOS

Madrid Comunidad Digital
Código de Verificación Electrónica (CVE): BOCM-20220801-71