Boletín Oficial de la Comunidad de Madrid - Núm 44

Fecha del Boletín 
21-02-2023

Sección 1.3.29.1: I. COMUNIDAD DE MADRID


Código de Verificación Electrónica (CVE): BOCM-20230221-26

Páginas: 185


I. COMUNIDAD DE MADRID

C) Otras Disposiciones

CONSEJERÍA DE ECONOMÍA, HACIENDA Y EMPLEO

26
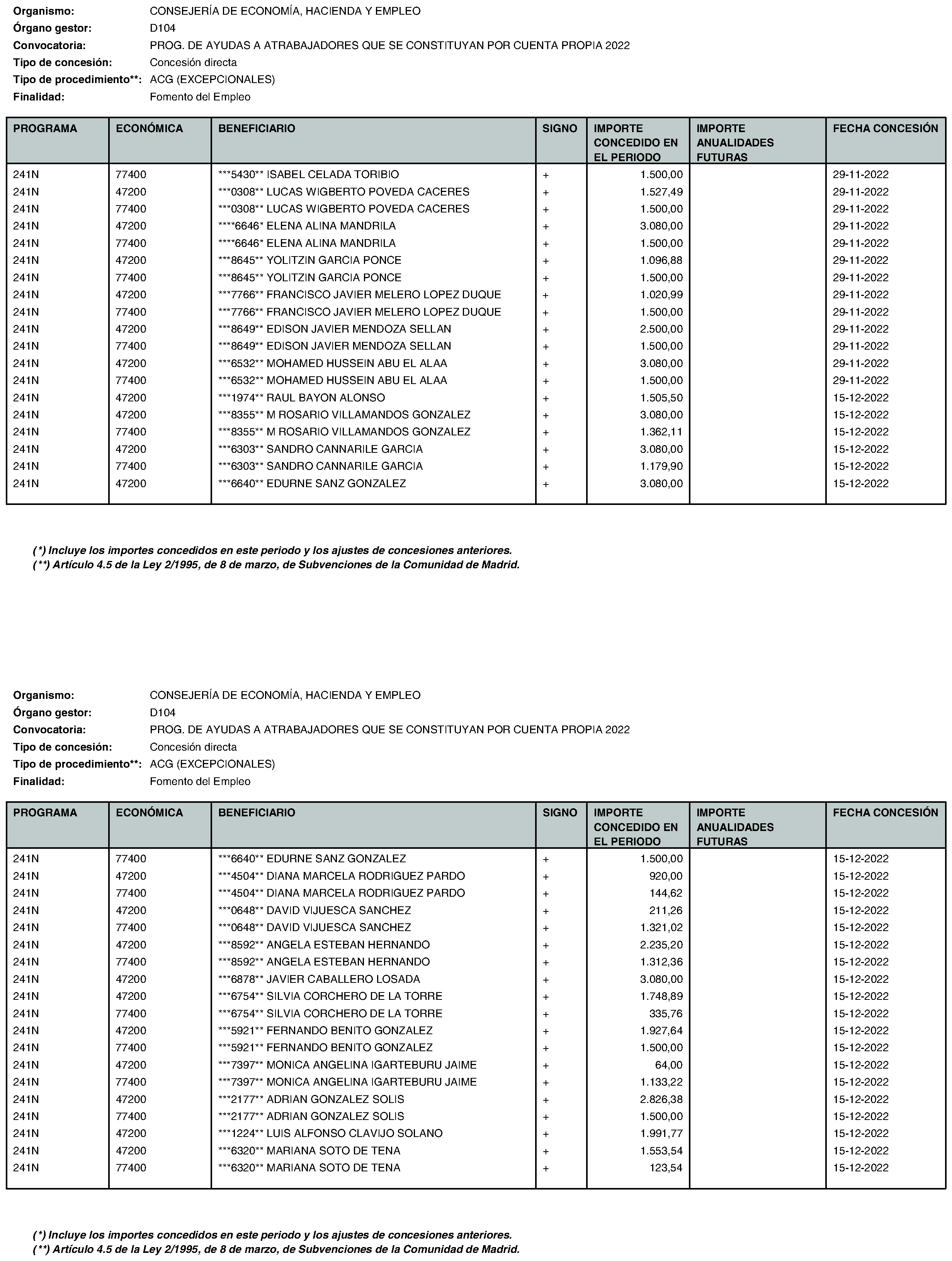
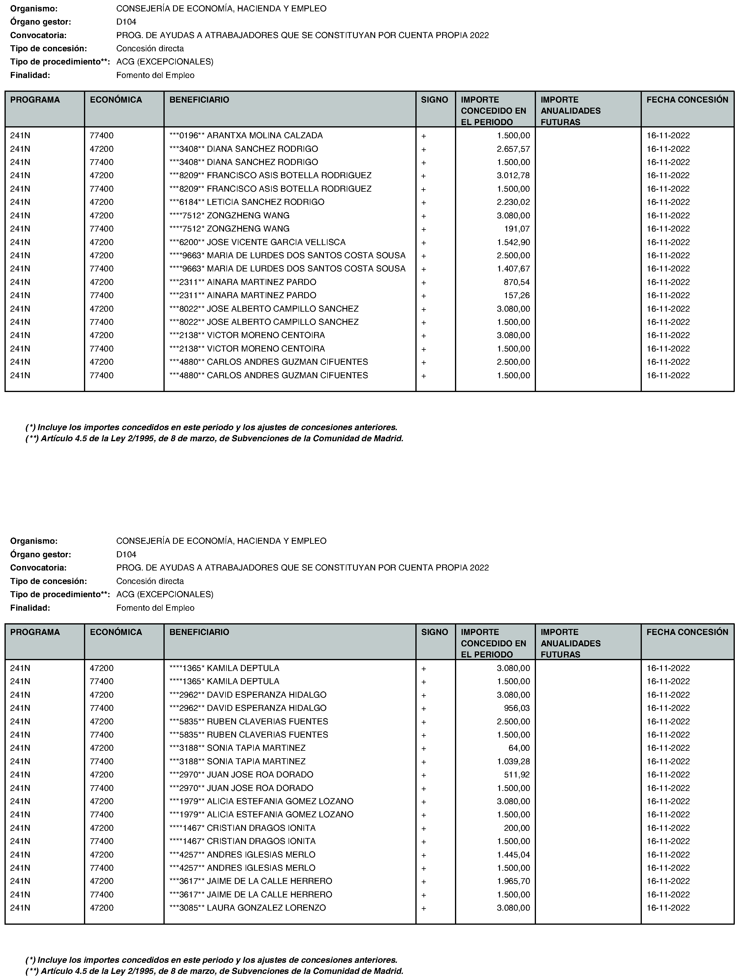
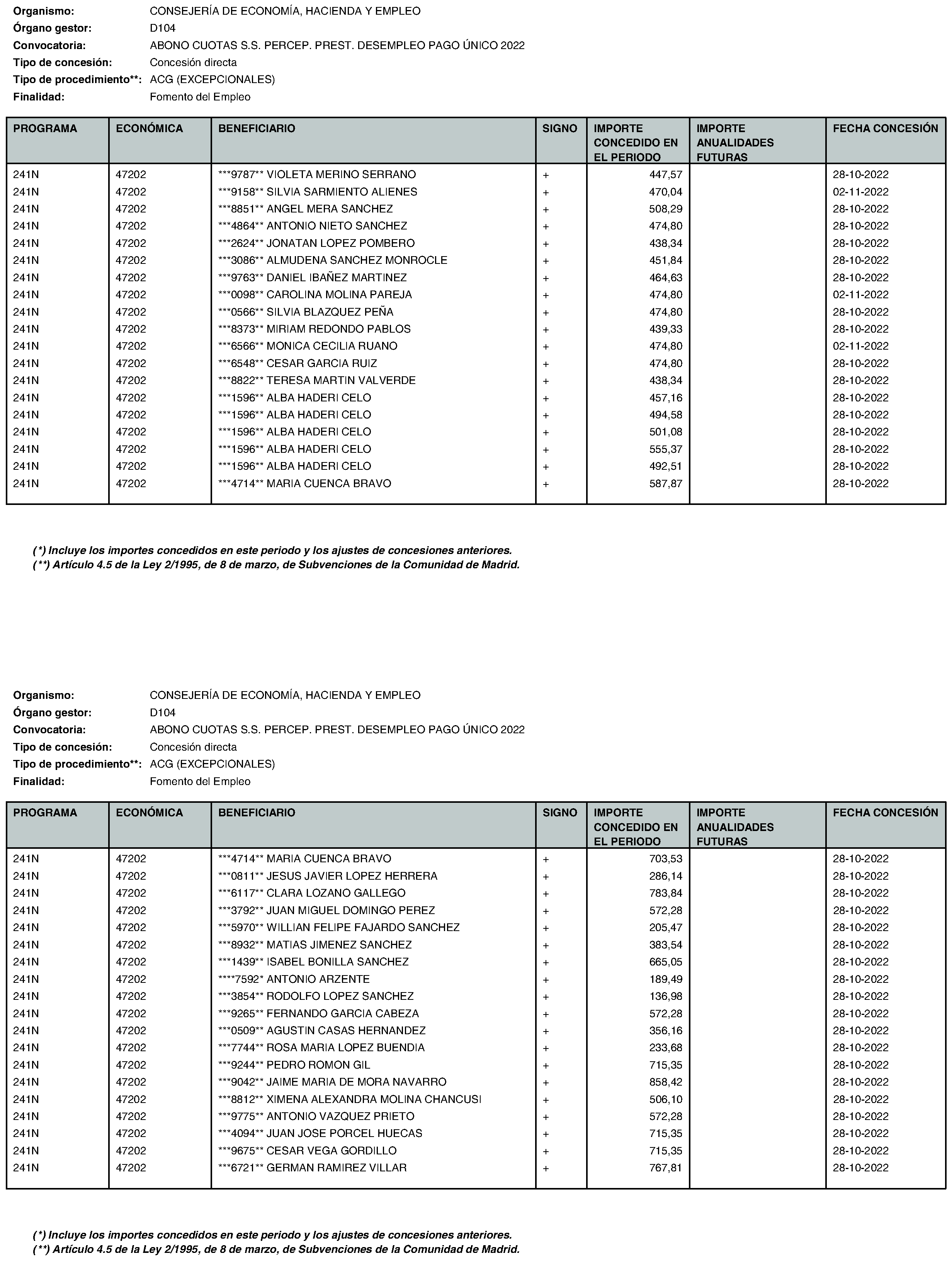
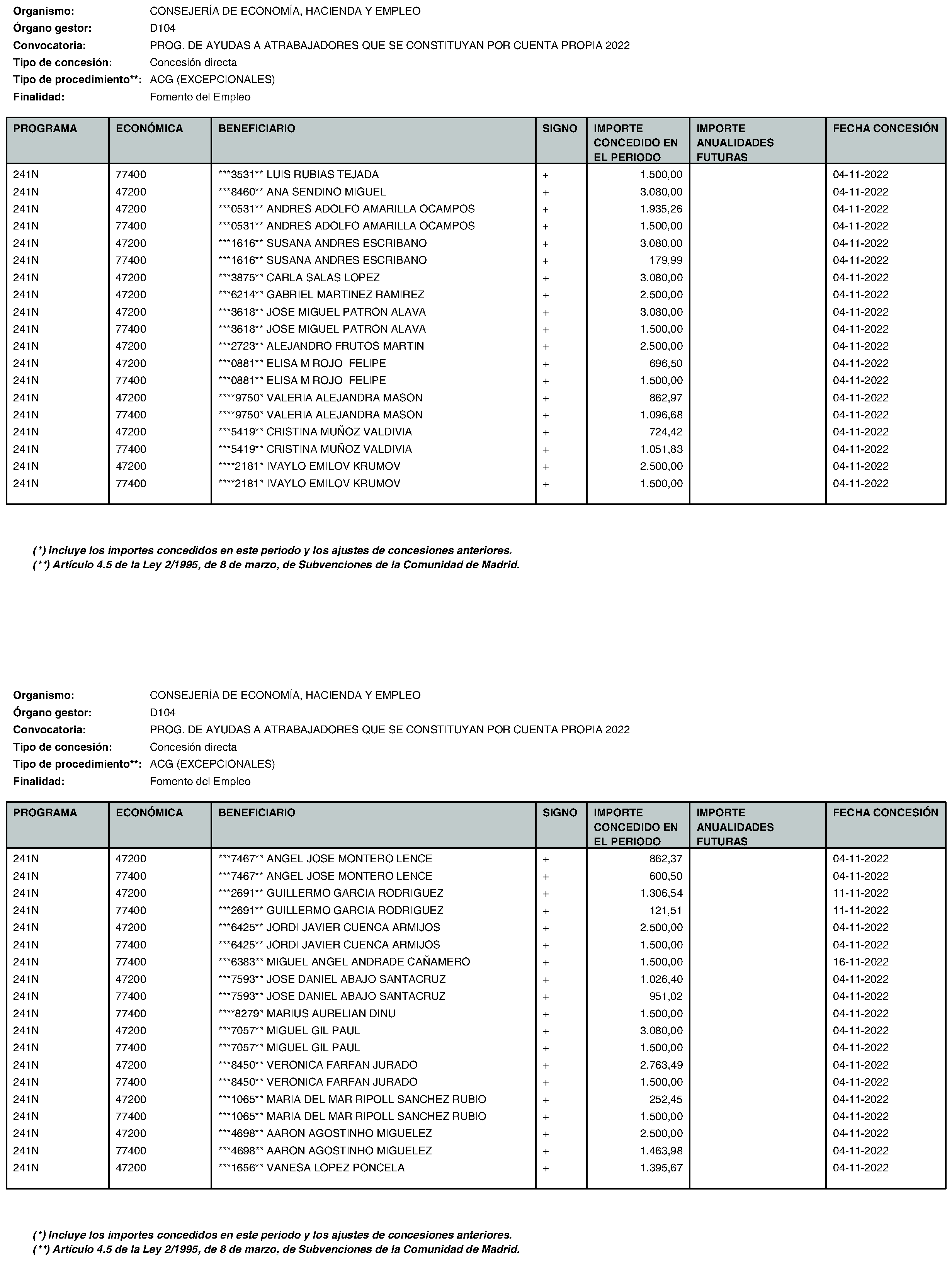
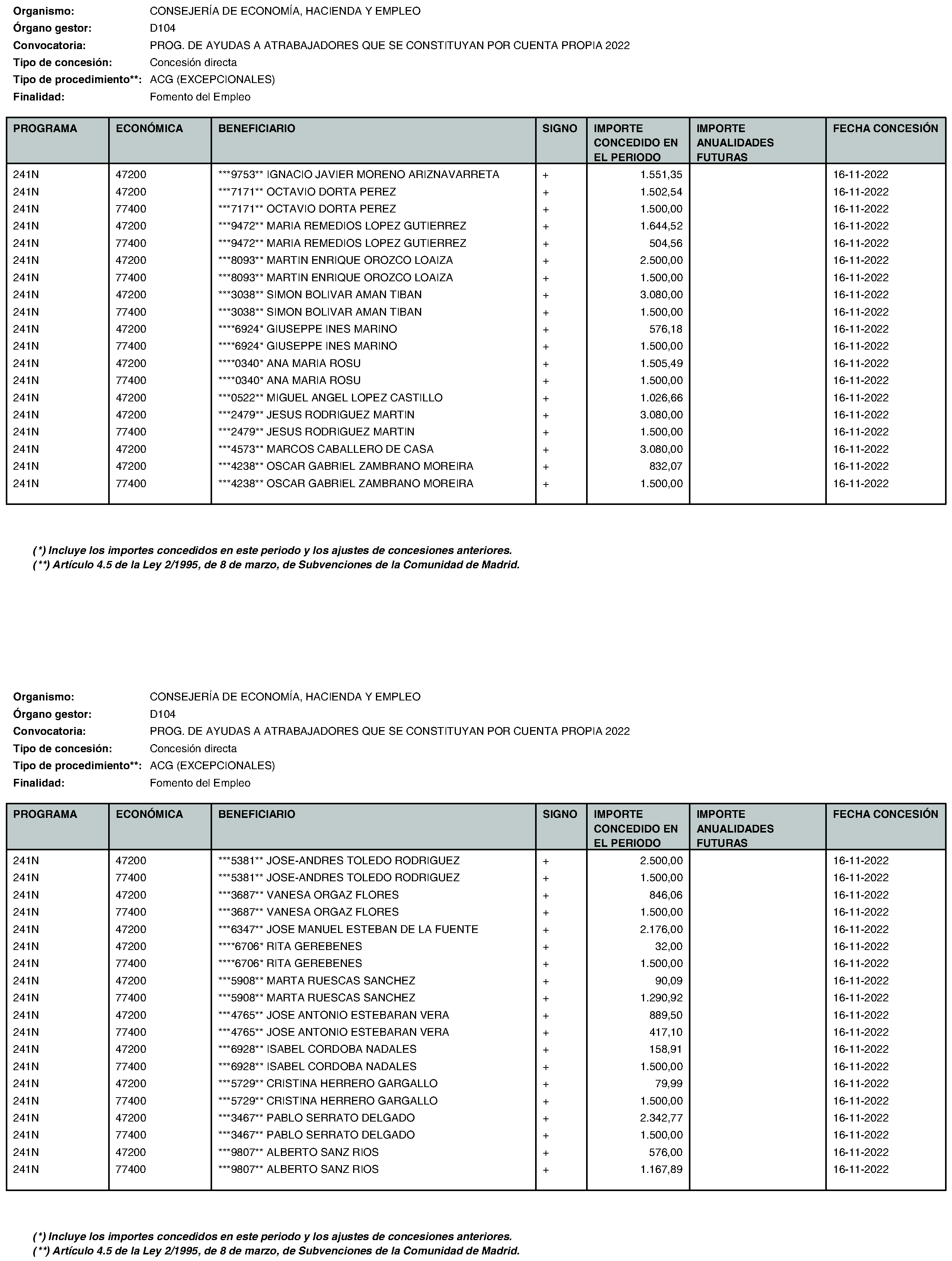
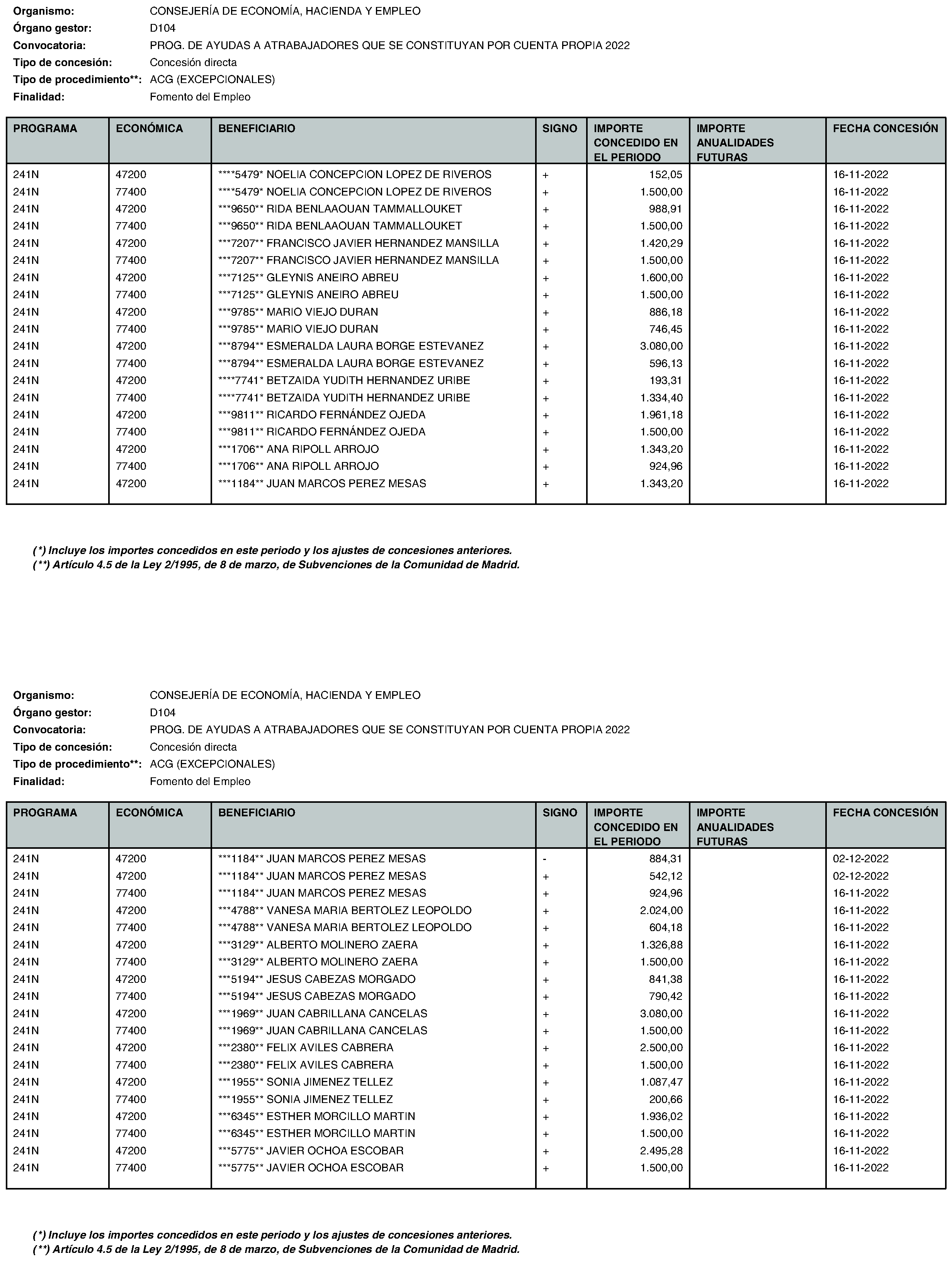
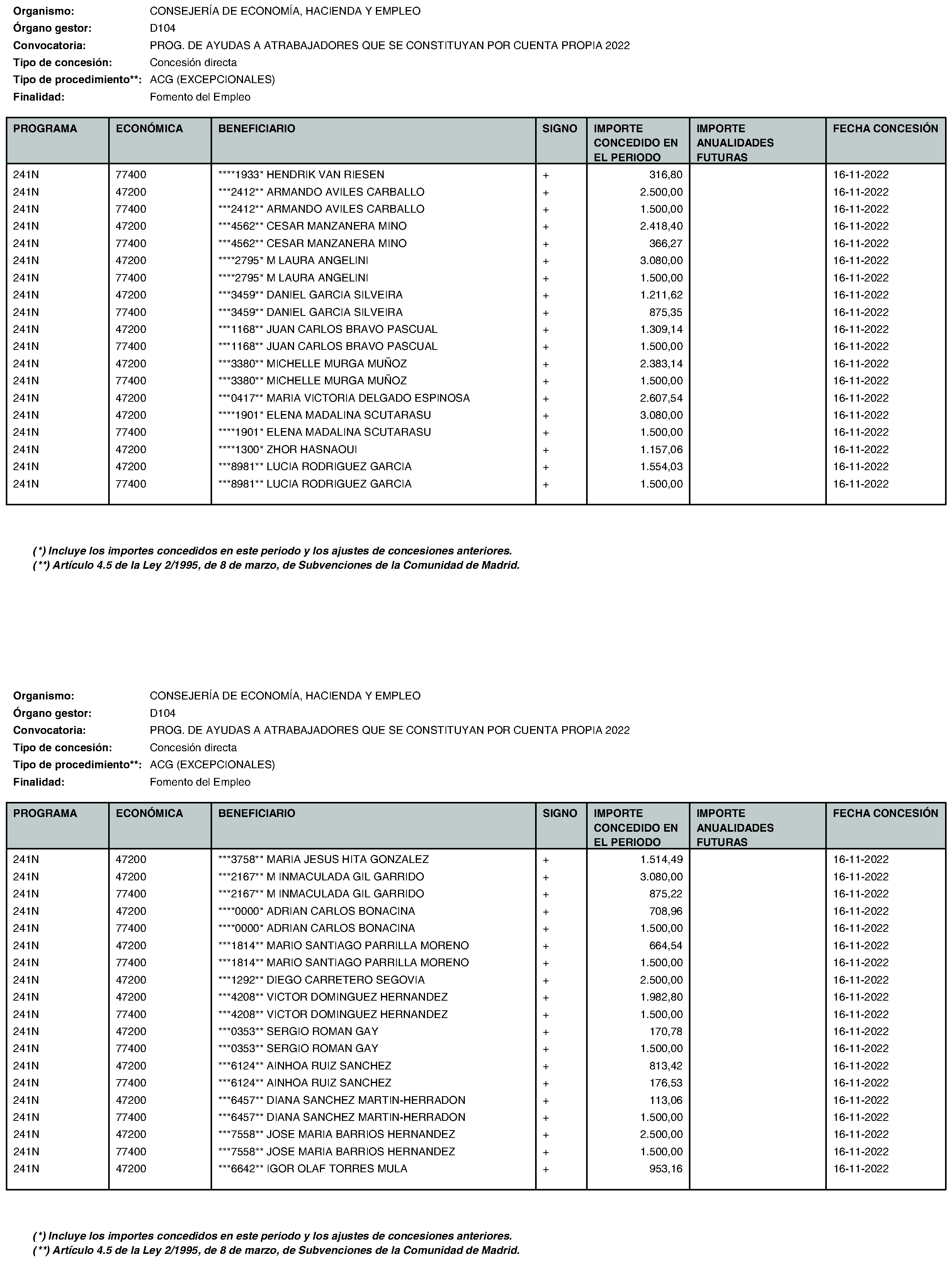
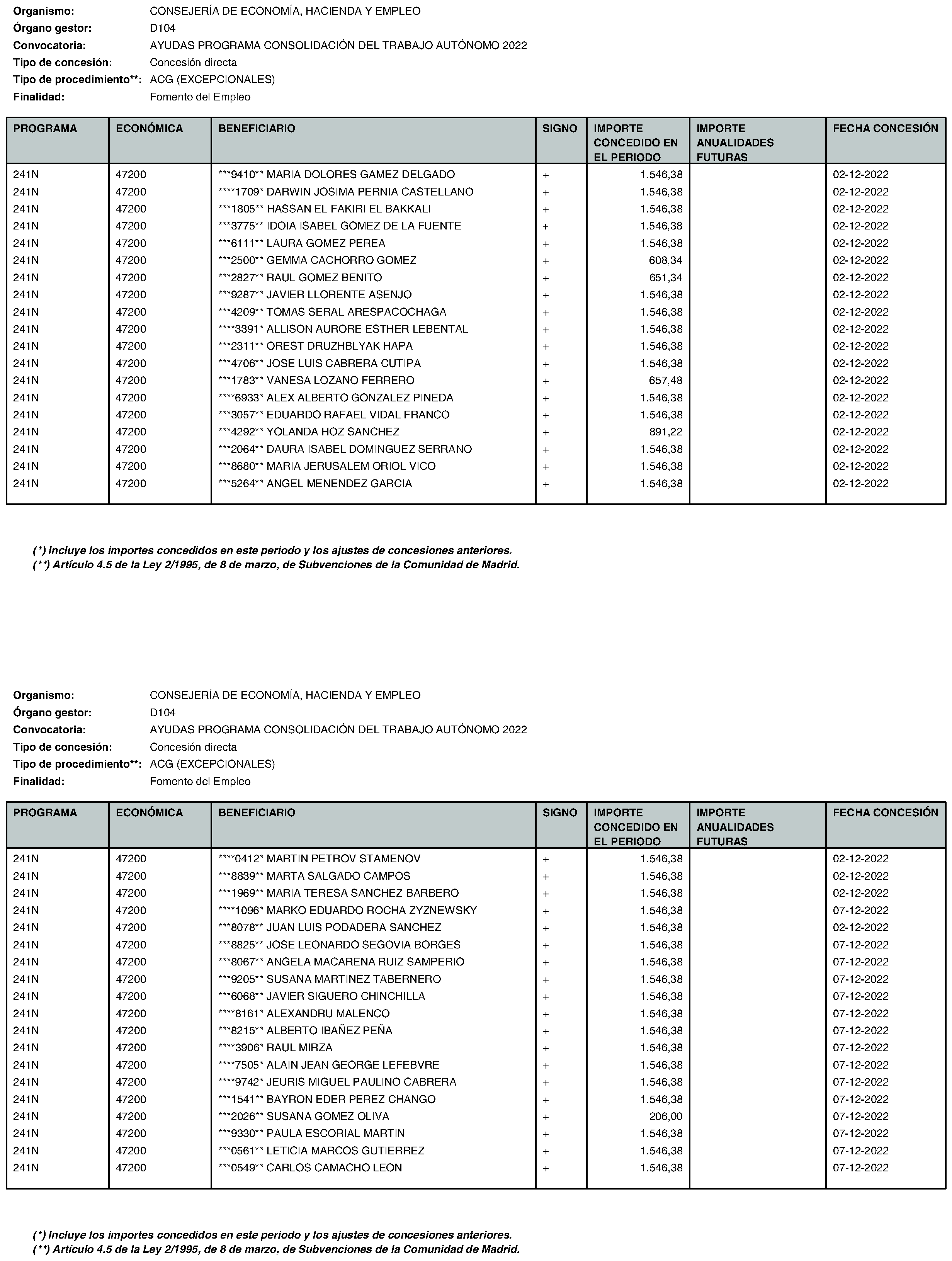
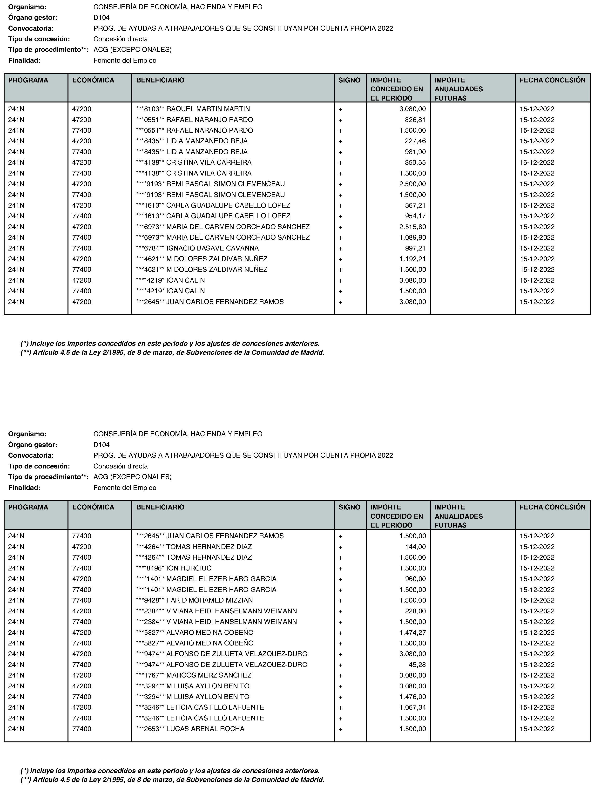
RESOLUCIÓN de 6 de febrero de 2023, del Director General de Autónomos y Emprendimiento, por la que se hace pública la relación de subvenciones concedidas con cargo al Programa 241N, “Desarrollo del Trabajo Autónomo, de la Economía Social y de la Responsabilidad Social de las Empresas”, de la Consejería de Economía, Hacienda y Empleo de la Comunidad de Madrid, durante el cuarto trimestre del ejercicio 2022.

De conformidad con lo dispuesto en el apartado 4 del artículo 7 de la Ley 2/1995, de 8 de marzo, de Subvenciones de la Comunidad de Madrid, las entidades concedentes publicarán trimestralmente en el BOLETÍN OFICIAL DE LA COMUNIDAD DE MADRID las subvenciones otorgadas en cada período con expresión de la entidad beneficiaria, cantidad concedida y finalidad de las mismas,

RESUELVO

Publicar en el BOLETÍN OFICIAL DE LA COMUNIDAD DE MADRID las subvenciones concedidas con cargo al Programa 241N, “Desarrollo del Trabajo Autónomo, de la Economía Social y de la Responsabilidad Social de las Empresas”, de la Consejería de Economía, Hacienda y Empleo de la Comunidad de Madrid, durante el cuarto trimestre del ejercicio 2022, cuya relación se incluye en el anexo que se inserta a continuación.

Madrid, a 6 de febrero de 2023.—El Director General de Autónomos y Emprendimiento, Alberto González Díaz.

















































































































































































































































































































































































(03/2.255/23)

Nota: El contenido del texto de la disposición que aquí se muestra no es necesariamente exacto y completo. Únicamente la disposición publicada con firma electrónica, en formato PDF, tiene carácter auténtico y validez oficial.

Sección 1.3.29.1: I. COMUNIDAD DE MADRID

Madrid Comunidad Digital
Código de Verificación Electrónica (CVE): BOCM-20230221-26