Boletín Oficial de la Comunidad de Madrid - Núm 140

Fecha del Boletín 
13-06-2024

Sección 1.2.108.1: I. COMUNIDAD DE MADRID


Código de Verificación Electrónica (CVE): BOCM-20240613-21

Páginas: 4


I. COMUNIDAD DE MADRID

B) Autoridades y Personal

CONSEJERÍA DE SANIDAD

21
ORDEN 897/2024, de 3 de junio, de la Consejería de Sanidad, por la que se resuelve la Orden 305/2024, de 5 de marzo, de la referida Consejería (BOLETÍN OFICIAL DE LA COMUNIDAD DE MADRID de 15 de marzo de 2024), por la que se convoca para su cobertura interina un puesto de trabajo en esta Consejería de Sanidad y se constituye lista de espera para futuras coberturas interinas de puestos de esta Consejería.

Convocado por Orden 305/2024, de 5 de marzo, de la referida Consejería (BOLETÍN OFICIAL DE LA COMUNIDAD DE MADRID de 15 de marzo de 2024), el puesto de trabajo número 60307, Subinspector, perteneciente a la Dirección General de Inspección y Ordenación Sanitaria, y en la que se prevé la constitución de lista de espera para futuras coberturas interinas de puestos de esta Consejería.

Considerando que se han cumplido las prescripciones contenidas en las bases de la convocatoria y vista la propuesta del Tribunal de Selección de Funcionarios Interinos de la Consejería de Sanidad,

DISPONGO

Primero

Se declara seleccionada para el puesto de trabajo convocado a la aspirante que se expresa en el Anexo I a la presente Orden.

La interesada recibirá la oportuna notificación de nombramiento con el fin de efectuar la correspondiente toma de posesión.

Segundo

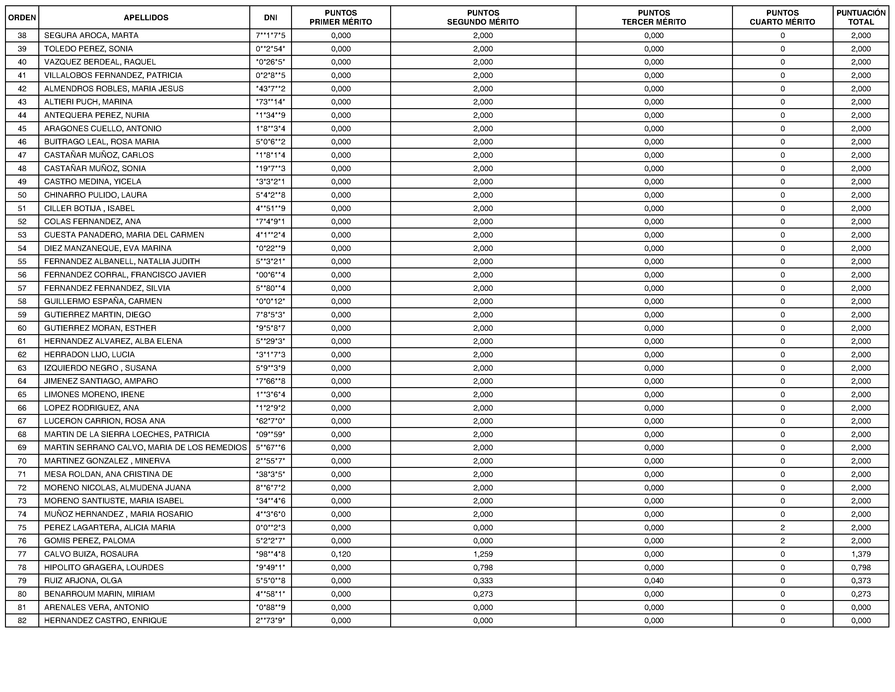
Aprobar y hacer públicas la relación de integrantes de la lista de espera para la selección de funcionarios interinos del Cuerpo Superior de Inspección Sanitaria, Escala de Médicos de Inspección Sanitaria, Subgrupo A1 de Administración Especial de la Comunidad de Madrid, derivada de la Orden 305/2024, de 5 de marzo, de la Consejería de Sanidad, tal y como figuran en el Anexo II de la presente Orden.

Contra la presente Orden, que pone fin a la vía administrativa, los interesados podrán interponer con carácter potestativo recurso de reposición, en el plazo de un mes, ante la Consejera de Sanidad, o bien, directamente recurso contencioso-administrativo, en el plazo de dos meses, ante los Juzgados de lo Contencioso-Administrativo de Madrid, ambos plazos contados a partir del día siguiente a su publicación en el BOLETÍN OFICIAL DE LA COMUNIDAD DE MADRID.

Madrid, a 3 de junio de 2024.—La Consejera de Sanidad, por delegación mediante Orden 440/2022, de 28 de marzo (BOLETÍN OFICIAL DE LA COMUNIDAD DE MADRID número 78, de 1 de abril de 2022), el Secretario General Técnico, Francisco Lobo Montalbán.

RESOLUCIÓN DE CONVOCATORIA DE COBERTURA INTERINA DE PUESTOS DE TRABAJO PARA FUNCIONARIOS INTERINOS





(03/8.788/24)

Nota: El contenido del texto de la disposición que aquí se muestra no es necesariamente exacto y completo. Únicamente la disposición publicada con firma electrónica, en formato PDF, tiene carácter auténtico y validez oficial.

Sección 1.2.108.1: I. COMUNIDAD DE MADRID

Madrid Comunidad Digital
Código de Verificación Electrónica (CVE): BOCM-20240613-21