Boletín Oficial de la Comunidad de Madrid - Núm 14

Fecha del Boletín 
17-01-2025

Sección 3.10.20C: III. ADMINISTRACIÓN LOCAL AYUNTAMIENTOS


Código de Verificación Electrónica (CVE): BOCM-20250117-42

Páginas: 25


III. ADMINISTRACIÓN LOCAL

AYUNTAMIENTO DE COLMENAR VIEJO

PERSONAL

42
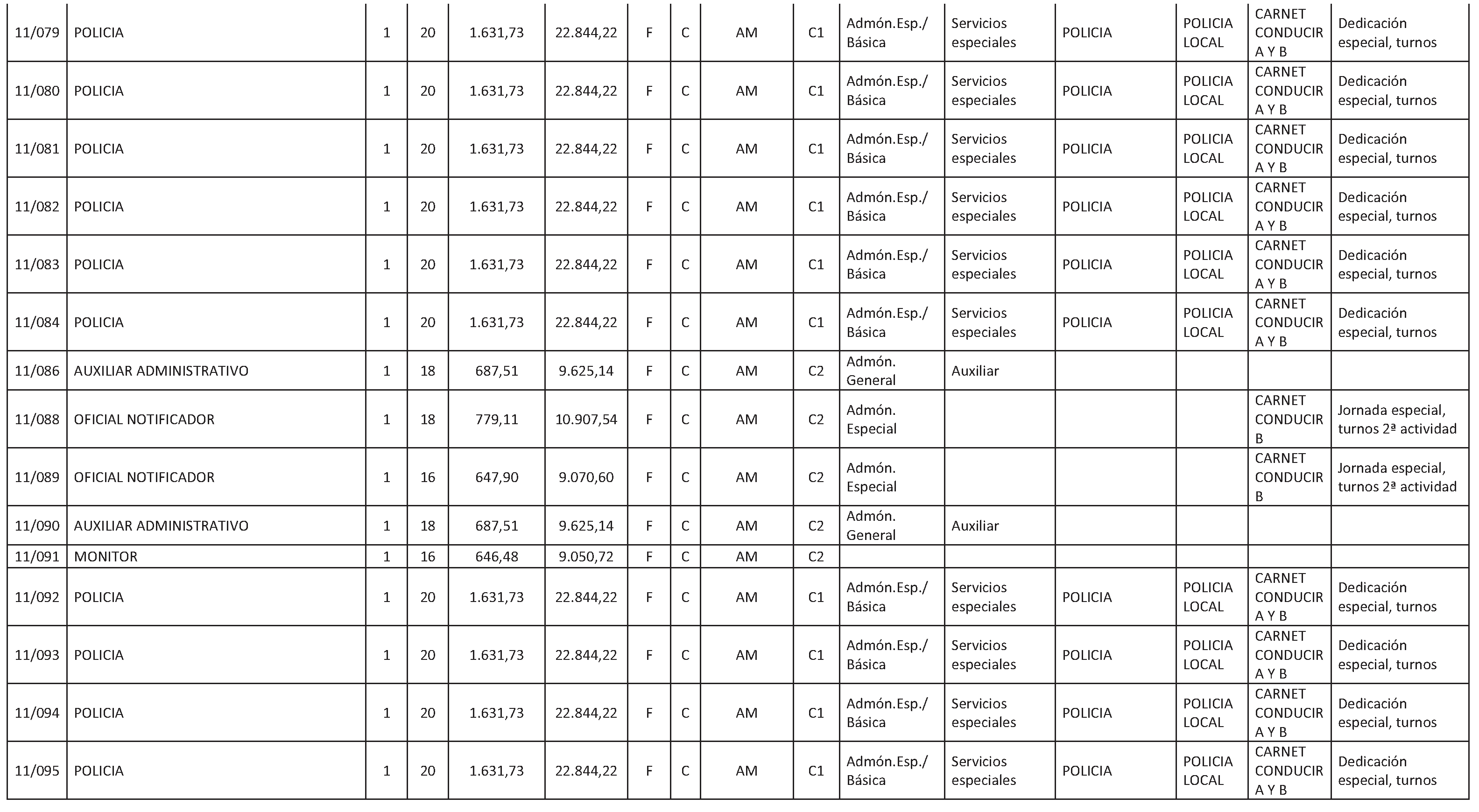
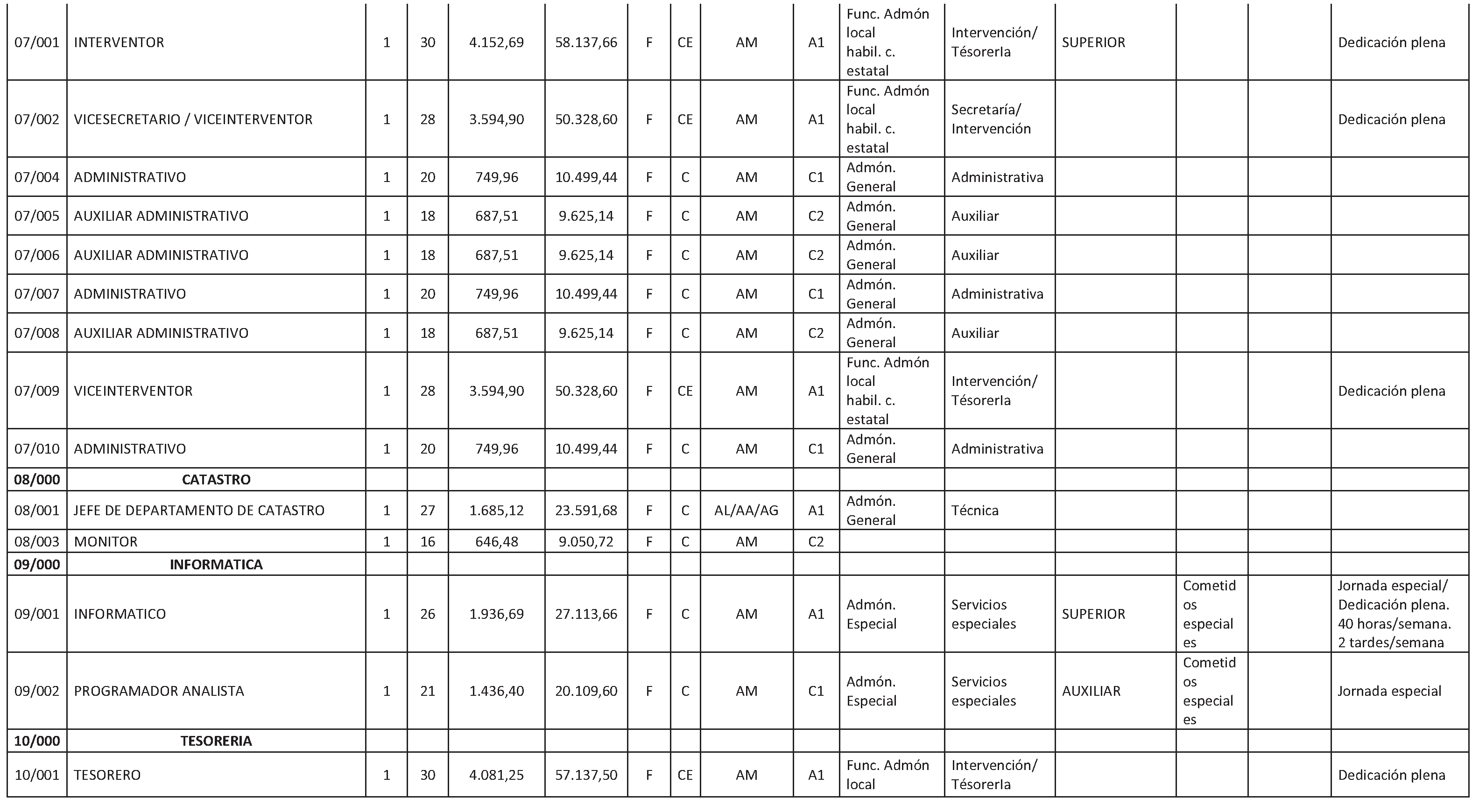
Colmenar Viejo. Personal. Relación puestos trabajo

Por Acuerdo 90/24 del Pleno del Ayuntamiento de Colmenar Viejo, en sesión celebrada el día 19 de diciembre de 2024, se aprobó la modificación de la relación de puestos de trabajo que se inserta a continuación:













































Contra este acto, que es definitivo en vía administrativa, podrá interponer en el plazo de dos meses, contados desde el día siguiente a esta publicación, recurso contencioso-administrativo ante el Juzgado de lo Contencioso-Administrativo de Madrid. Todo ello conforme a lo dispuesto en el artículo 114 de la Ley 39/2015, del Procedimiento Administrativo Común de las Administraciones Públicas, y artículo 46 de la Ley Reguladora de la Jurisdicción Contencioso-Administrativa.

Podrá utilizar, desde luego, cualquier otro recurso que estime conveniente.

Colmenar Viejo, a 7 de enero de 2025.—La primera teniente de alcalde (firmado).

(03/186/25)

Nota: El contenido del texto de la disposición que aquí se muestra no es necesariamente exacto y completo. Únicamente la disposición publicada con firma electrónica, en formato PDF, tiene carácter auténtico y validez oficial.

Sección 3.10.20C: III. ADMINISTRACIÓN LOCAL AYUNTAMIENTOS

Madrid Comunidad Digital
Código de Verificación Electrónica (CVE): BOCM-20250117-42