Boletín Oficial de la Comunidad de Madrid - Núm 16
Fecha del Boletín
20-01-2025
Sección 3.10.20S: III. ADMINISTRACIÓN LOCAL AYUNTAMIENTOS
Código de Verificación Electrónica (CVE): BOCM-20250120-53
Páginas: 11
III. ADMINISTRACIÓN LOCAL
AYUNTAMIENTO DE SAN LORENZO DE EL ESCORIAL
PERSONAL
53
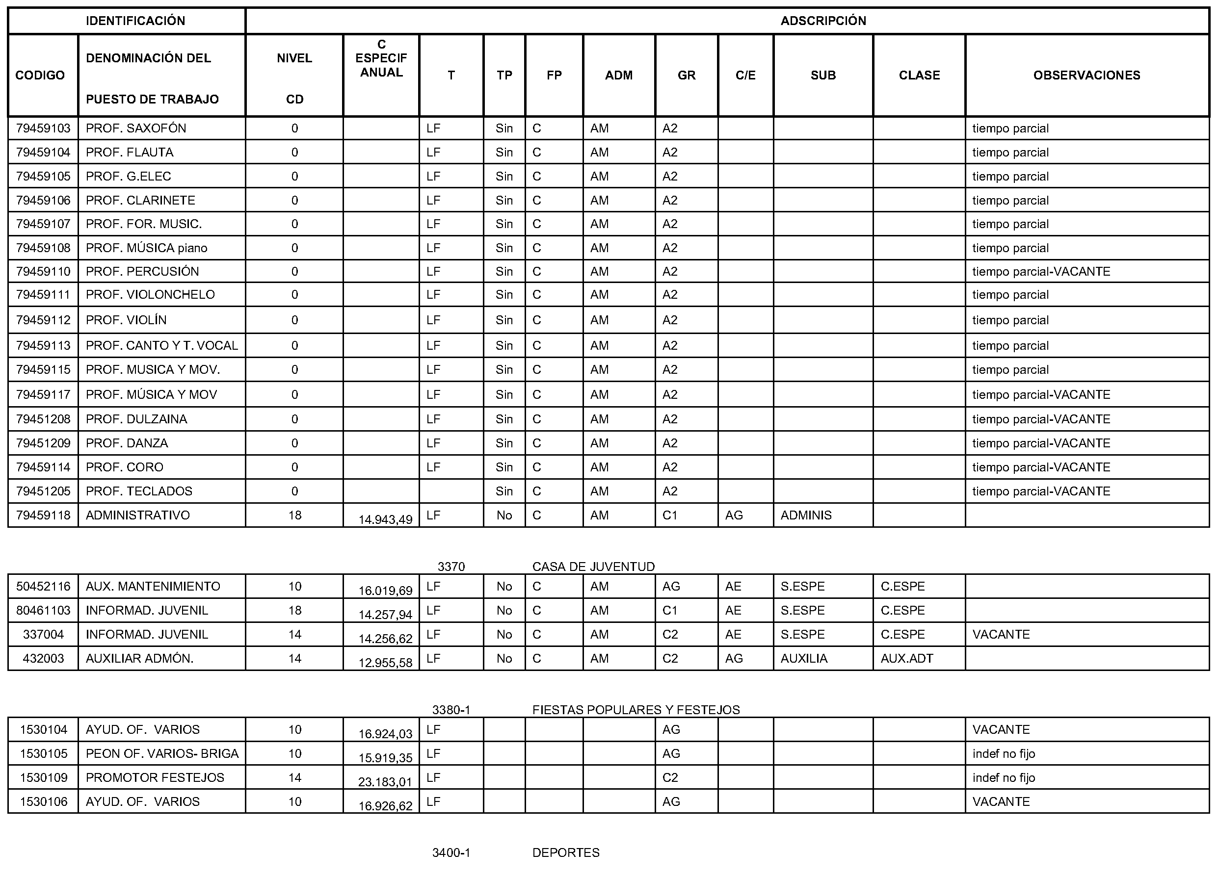
San Lorenzo de El Escorial. Personal. Relación puestos trabajo
Nota: El contenido del texto de la disposición que aquí se muestra no es necesariamente exacto y completo. Únicamente la disposición publicada con firma electrónica, en formato PDF, tiene carácter auténtico y validez oficial.

