Boletín Oficial de la Comunidad de Madrid - Núm 131

Fecha del Boletín 
03-06-2025

Sección 3.10.20A: III. ADMINISTRACIÓN LOCAL AYUNTAMIENTOS


Código de Verificación Electrónica (CVE): BOCM-20250603-76

Páginas: 5


III. ADMINISTRACIÓN LOCAL

AYUNTAMIENTO DE ALGETE

RÉGIMEN ECONÓMICO

76
Algete. Régimen económico. Presupuesto general

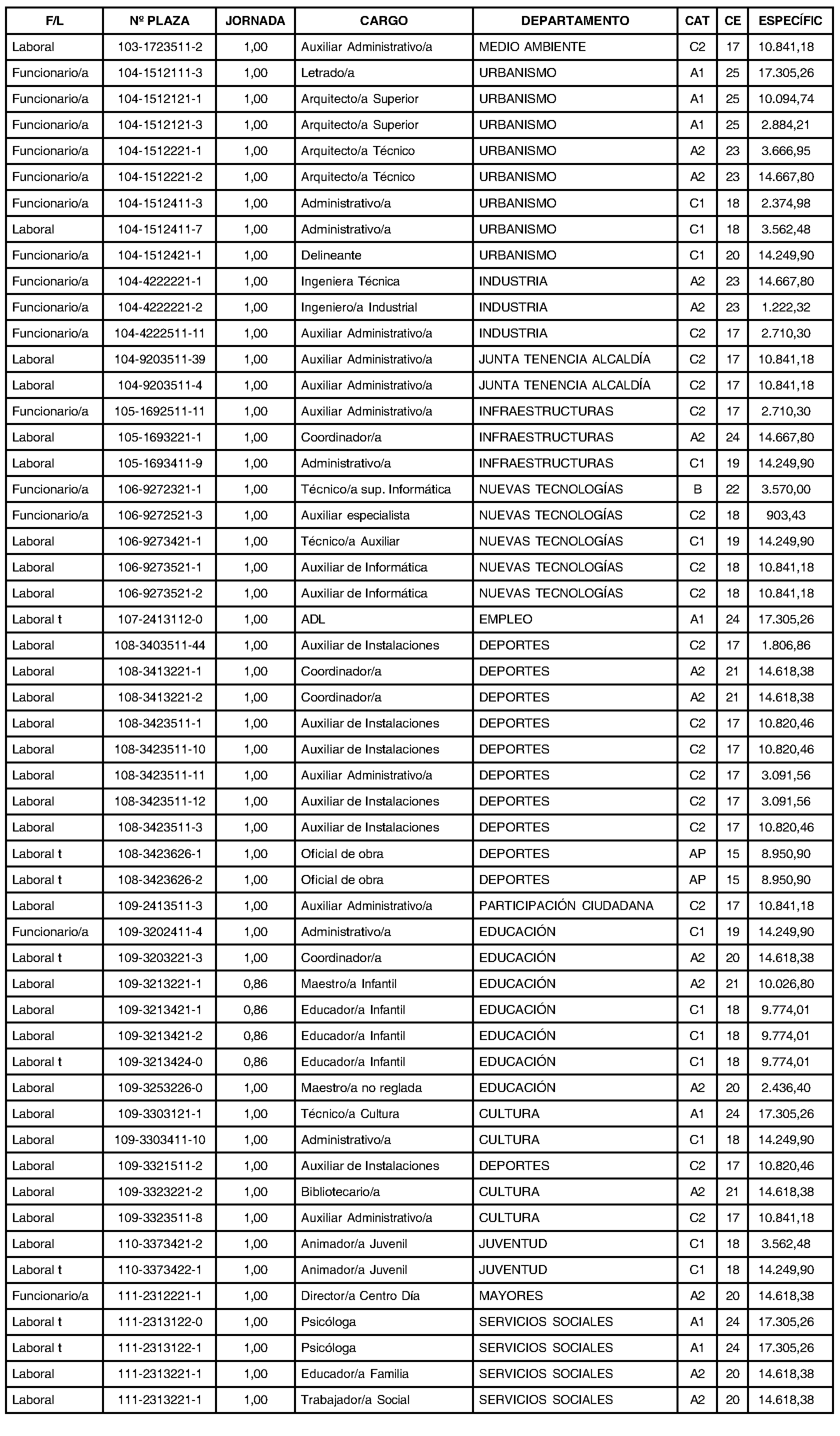
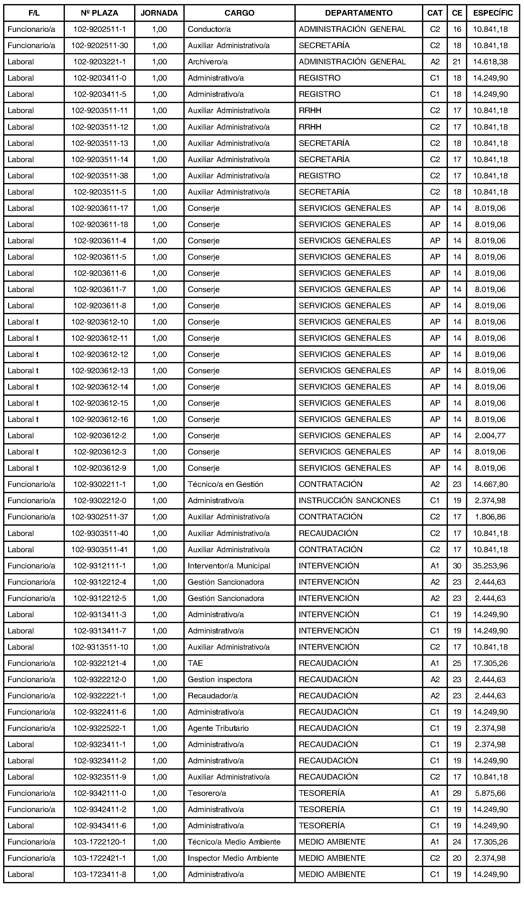
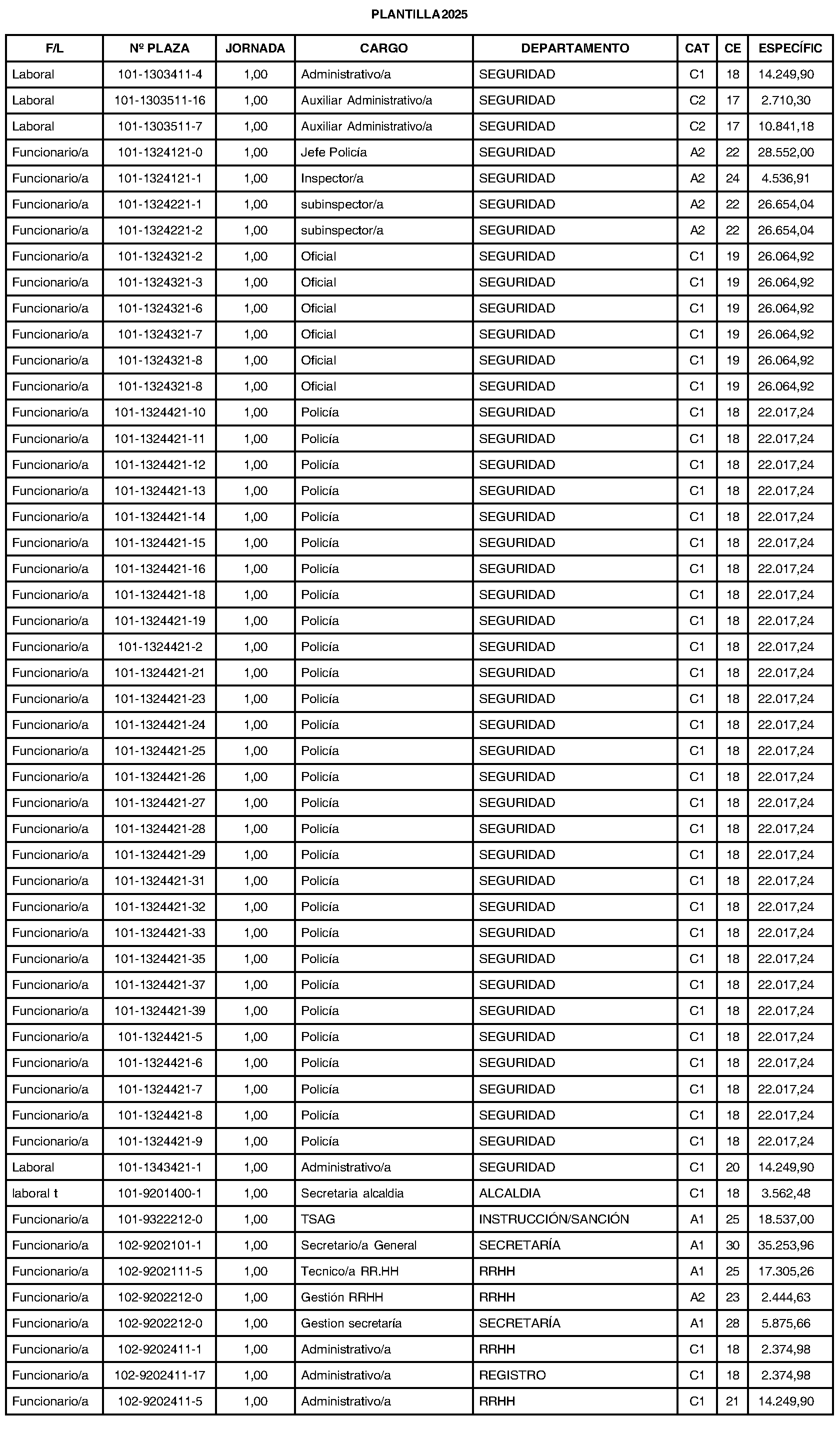
Aprobado, de forma definitiva, el presupuesto general municipal, bases de ejecución y la plantilla de personal para el ejercicio económico 2025, del Ayuntamiento de Algete, en sesión ordinaria celebrada por el Pleno de este Ayuntamiento el día 24 de abril de 2025, una vez expuesto al público durante quince días hábiles cuyo anuncio se publicó en BOLETÍN OFICIAL DE LA COMUNIDAD DE MADRID número 100, de 28 de abril de 2025, página 174 y previa resolución de las alegaciones formuladas en el período de exposición pública, se adoptó acuerdo definitivo de aprobación en sesión plenaria celebrada el 29 de mayo de 2025.

De conformidad con el artículo 169.3 del texto refundido de la Ley Reguladora de Haciendas Locales, se hace público el resumen del mismo a nivel de capítulos, conjuntamente con la plantilla de personal.











Contra la aprobación definitiva de este presupuesto general, según lo dispuesto en el artículo 177.1 del Real Decreto 2/2004, de 5 de marzo, podrá interponerse directamente recurso contencioso-administrativo ante la sala correspondiente del Tribunal Superior de Justicia de Madrid, o Juzgados de lo Contencioso Administrativo de Madrid en el plazo de dos meses, contados desde la fecha de la publicación del presente anuncio en el BOLETÍN OFICIAL DE LA COMUNIDAD DE MADRID.

Algete, a 30 de mayo de 2025.—La concejala-delegada de Hacienda, María Julia Iglesias Paje.

(03/8.746/25)

Nota: El contenido del texto de la disposición que aquí se muestra no es necesariamente exacto y completo. Únicamente la disposición publicada con firma electrónica, en formato PDF, tiene carácter auténtico y validez oficial.

Sección 3.10.20A: III. ADMINISTRACIÓN LOCAL AYUNTAMIENTOS

Madrid Comunidad Digital
Código de Verificación Electrónica (CVE): BOCM-20250603-76