Boletín Oficial de la Comunidad de Madrid - Núm 299
Fecha del Boletín
16-12-2025
Sección 3.10.20S: III. ADMINISTRACIÓN LOCAL AYUNTAMIENTOS
Código de Verificación Electrónica (CVE): BOCM-20251216-69
Páginas: 10
III. ADMINISTRACIÓN LOCAL
AYUNTAMIENTO DE SAN LORENZO DE EL ESCORIAL
PERSONAL
69
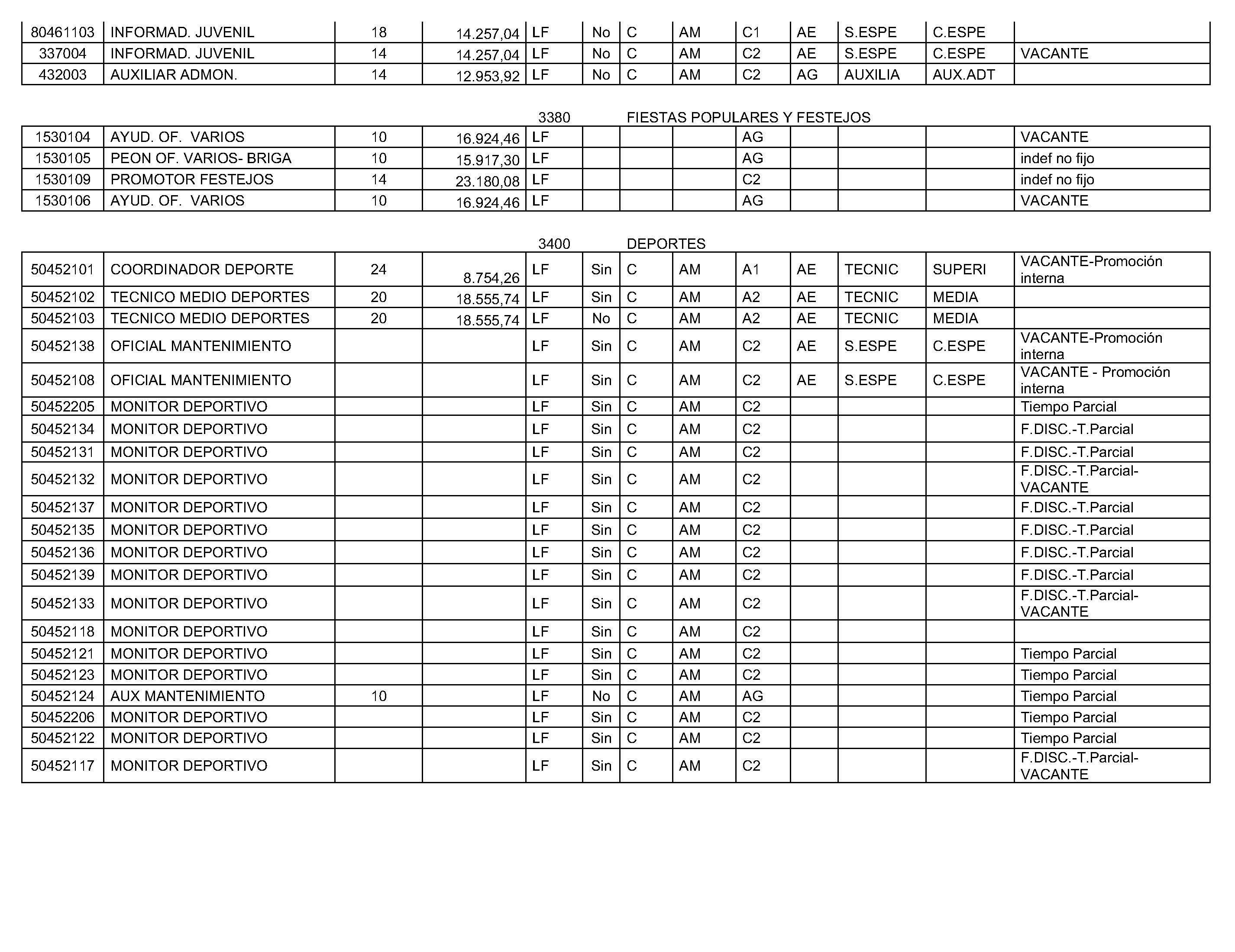
San Lorenzo de El Escorial. Personal. Relación puestos trabajo
Nota: El contenido del texto de la disposición que aquí se muestra no es necesariamente exacto y completo. Únicamente la disposición publicada con firma electrónica, en formato PDF, tiene carácter auténtico y validez oficial.

